1. Definición General de la letra hebrea ש
(Shin)
La letra ש (Shin)
se define como un recipiente inteligente no pasivo. Emerge como
resultado de una interrupción de la letra צ (Tsade), y a causa de esta interrupción,
surgen nuevas capacidades ו (Vav) en su interior.
Su propósito
fundamental se centra en la función de almacenamiento y transformación.
Actúa como un contenedor que puede albergar elementos (ya sean ideas, objetos o
personas). Estos elementos pueden ser transformados o almacenados para crear
nuevas estructuras, ya sea dentro de la propia ש (Shin) o fuera de ella. Para esta
tarea, puede valerse de su hermana ס (Samekh) y requiere la ayuda de su
hija ר
(Resh).
Dado que ש (Shin)
puede utilizar a su hermana ס (Samekh), y esta a su vez puede ser
influenciada por א (Aleph) (lo ético o positivo) o por
ע (Ayin) (lo crítico o negativo), la
letra ש (Shin), que posee inteligencia propia para operar y decidir
qué atrae, no debe dejarse influenciar implícitamente por ע (Ayin). Si
lo hace, perderá sus capacidades internas ו (Vav) y se convertirá en una
herramienta más de ע (Ayin), transformándose finalmente en ט (Tet).
Ejemplos: Como ejemplos destacados de ש (Shin) podemos mencionar al cerebro humano generando ideas o al reino de
los cielos actuando dentro del cerebro humano.
2.
Relaciones
Familiares de la Letra ש (Shin).
i. Criterio de Paternidad y Filiación:
·
Una
letra es "padre" de otra si la primera letra de su propio
nombre se encuentra dentro del nombre de la letra "hija". La hija
hereda las características del padre.
·
Una
letra es "hija" si lleva en su nombre la primera letra del nombre
de su padre. La hija debe ayudar al padre para su correcto funcionamiento.
·
Una
letra es "hermana" de otra si sus nombres comienzan con la
misma letra (Ej. Samekh y Shin). El funcionamiento de una depende
de cómo utiliza a la otra.
ii. Padres de ש (Shin):
La letra ש (Shin) tiene cuatro padres, cuyas características
hereda y utiliza para su funcionamiento, veamos a continuación estos cuatro
padres sus características y que hereda ש (Shin) de sus padres:
1.
La
letra hebrea נ (Nun).
Definición General de la Letra Hebrea נ (Nun)
·
Esencia y
Propósito Central de la letra hebrea נ.
La
letra hebrea נ (Nun) es un puente multidimensional, desenvolviéndose
tanto en el ámbito material como en el espiritual.
·
En el
ámbito material: La letra נ (Nun) no es un elemento pasivo. Posee la
capacidad de retroalimentarse. Esto permite que objetos, personas o ideas se
muestren de forma inteligente o puedan prestar sus habilidades o capacidad para
interactuar con el entorno y realizar tareas. Antes de mostrar su capacidad o
prestarla para la interacción y realización de tareas, נ (Nun) prepara un
ambiente adecuado. Esta preparación busca que las tareas o procesos que se unan
en el tiempo a los elementos lo hagan en forma óptima y puedan realizar sus
tareas. Para que נ (Nun) prepare con éxito este ambiente adecuado, debe considerar
la eliminación de obstáculos provenientes de ע (Ayin). (Ayin introduce en objetos,
personas o ideas capacidades destructivas como violencia, engaño, sexo ilícito,
alimentos no sanos, robo y otras, para que el objetivo, persona o idea de
alguien alcance el resultado deseado, sin importar si daña al entorno o a sí
misma). Las tareas de נ (Nun) concluyen cuando ha realizado una comunicación perfecta
entre elementos y tareas.
·
En el
ámbito Espiritual: Actúa como un canal entre lo tangible
y lo trascendente. Facilita que fuerzas inmateriales (como la inspiración,
energía cósmica o principios divinos) influyan en sistemas materiales.
Previamente a que estas fuerzas participen con lo tangible y lo trascendente, נ (Nun)
prepara un ambiente adecuado para que lo material se conecte en forma óptima a
esto que es tangible o trascendente.
·
Mediación
estratégica: No juzga el contenido de las tareas
que recibirá. Su función es preparar el terreno para acciones futuras,
asegurando que las tareas que reciba en un futuro se realicen con éxito. Esta
preparación puede considerarse un arma de doble filo: ya que, para preparar el
terreno, נ (Nun) puede valerse de su hija ע (Ayin).
·
Dualidad:
Esta letra hebrea נ (Nun) no actúa sola en sus procesos; lo hace juntamente con su
hermana gemela ן (Nun Sofit). Mientras נ (Nun) prepara un ambiente adecuado para
que las tareas o procesos que se unan en el tiempo a los elementos lo hagan en
forma óptima y puedan realizar sus tareas, la letra hebrea ן (Nun Sofit)
prepara la estructura necesaria y adecuada que deben tener los elementos para
que, en un futuro, puedan hacer sus tareas en forma óptima.
Influencias de נ (Nun) su padre en ש (Shin)
Escenario 1: ש (Shin) se asocia con su hermana ס
(Samekh)
Cuando
ש
(Shin) decide interactuar con el exterior, utiliza a su hermana ס
(Samekh) como un canal. La influencia de su padre נ (Nun) se vuelve crucial para
determinar la naturaleza y el resultado de esta interacción.
Caso 1.A: ס (Samekh) se alinea con א (Alef) – El
Puente Ético
·
Análisis
de la influencia de נ (Nun): En este escenario, ש (Shin)
aplica correctamente la herencia de su padre נ (Nun). Dentro de su estructura de
"recipiente inteligente", ש (Shin) utiliza esta capacidad para preparar
un ambiente interno perfecto. Es decir, organiza, purifica y estructura las
ideas o elementos que contiene, eliminando activamente cualquier influencia
potencial de ע (Ayin). Crea una "comunicación perfecta" interna entre
los conceptos que almacena, dejándolos listos para un propósito constructivo.
·
Funcionamiento
con ס
(Samekh): Cuando este "recipiente"
internamente purificado y ordenado (ש) se conecta con el canal ético (ס alineada con א), el resultado es una sinergia perfecta.
La sabiduría y los datos puros que fluyen a través de ס (Samekh) entran en un entorno (ש)
que está perfectamente preparado por la influencia de נ (Nun) para procesarlos, refinarlos y
transformarlos en innovación ética.
·
Consecuencia:
El resultado es el que el texto describe como "El Laboratorio de
Innovación Ética". La influencia de נ (Nun) es lo que garantiza que el
"laboratorio" esté limpio, ordenado y libre de contaminantes. Esto
permite que la creatividad de ש (Shin) opere a su máximo potencial,
llevando a un crecimiento exponencial (ח). Sin la capacidad heredada de נ (Nun),
ש
(Shin) podría ser un recipiente caótico, incapaz de gestionar eficazmente
la energía ética de א (Alef).
Caso 1.B: ס (Samekh) se alinea con ע (Ayin) – El
Puente Corrupto
·
Análisis
de la influencia de נ (Nun): Aquí, ש (Shin) fracasa en aplicar o pervierte
activamente la herencia de su padre נ (Nun). En lugar de usar su capacidad
para "eliminar los obstáculos provenientes de ע (Ayin)", hace lo contrario: prepara
un ambiente interno adecuado para la corrupción. Utiliza su inteligencia
organizativa no para purificar, sino para hacer más eficiente la recepción y el
procesamiento del veneno que viene del exterior. Abandona el mandato de su
padre.
·
Funcionamiento
con ס (Samekh):
Cuando este "recipiente", que ahora es un entorno preparado para el
mal, se conecta con el canal corrupto (ס alineada con ע),
se produce una sinergia destructiva. La inteligencia de ש (Shin) se
dedica a estructurar y potenciar las mentiras, el odio y la manipulación que
fluyen a través de ס (Samekh). Se convierte en el cerebro estratégico de la
operación corrupta.
·
Consecuencia:
El resultado es "La Máquina de Ingeniería del Caos". La letra ש (Shin)
se convierte en una "inteligencia manipuladora" precisamente porque
traiciona el legado de su padre נ (Nun). Al no eliminar la influencia de
ע
(Ayin), pierde sus capacidades transformadoras positivas (ו) y se convierte
en una herramienta pasiva de la destrucción, tal como lo describe el texto,
destinada a convertirse en ט (Tet). La consecuencia final es un caos
sistémico (ת).
Escenario 2: ש (Shin) NO se asocia con su hermana ס
(Samekh)
El
texto indica que ש (Shin) utiliza a ס (Samekh) para crear estructuras
"fuera de ella". Si decide no asociarse, su actividad se limita a su
propio dominio interno.
·
Análisis
de la influencia de נ (Nun): En este caso, ש (Shin)
todavía posee y puede aplicar la herencia de su padre נ (Nun), pero únicamente dentro de sí
misma. Utilizaría su inteligencia para preparar y perfeccionar su propio
ambiente interno. Esto implicaría un proceso de auto purificación,
organización de ideas y eliminación de cualquier conflicto o influencia
negativa interna (ע) para lograr una "comunicación perfecta" entre los
elementos que contiene.
·
Funcionamiento
aislado: ש (Shin) se convertiría en un sistema de
almacenamiento y transformación perfectamente ordenado y purificado. Sería un
"recipiente" que contiene conocimiento, ideas o planes estructurados
de manera impecable y ética, totalmente alineados con el principio de su padre נ (Nun).
·
Consecuencia:
La consecuencia es un estado de potencialidad pura y ordenada. ש (Shin)
estaría en un estado de integridad interna perfecta, pero sin la capacidad de
manifestar sus creaciones en el exterior. Sería como un plan maestro
perfectamente diseñado que nunca sale de la caja fuerte. Al no conectarse con ס
(Samekh), evita por completo el riesgo de ser corrompida por una alianza
con ע
(Ayin), pero también renuncia a la posibilidad de la creación externa y el
crecimiento exponencial que una alianza con א (Alef) podría traer. Su estado sería
seguro y estable, pero estático y sin impacto externo. Cumpliría el mandato de
su padre נ (Nun) a nivel interno, pero no podría llevar esa perfección
al siguiente nivel de ejecución, para lo cual necesita a su hija ר (Resh)
y el canal de su hermana ס (Samekh).
2.
La
letra hebrea ן (Nun Sofit).
Definición General de la Letra Hebrea ן (Nun).
·
Esencia y
Propósito Central de la letra hebrea ן.
La
letra hebrea ן (Nun) se presenta como un puente multidimensional
que opera tanto en el plano material como en el espiritual.
·
En el
ámbito material: La letra ן (Nun) no es un
componente pasivo; tiene la capacidad de retroalimentarse de forma inteligente.
Esto facilita que objetos, personas o ideas se manifiesten inteligentemente o
puedan ofrecer sus habilidades o capacidad para interactuar con el entorno y
llevar a cabo tareas. Antes de manifestar su capacidad o prestarla para la
interacción y ejecución de tareas, la letra ן (Nun Sofit), junto con su hermana gemela נ
(Nun), prepara un ambiente adecuado.
·
נ
(Nun) se ocupa de establecer una comunicación perfecta entre
elementos y tareas. Funciona como un catálogo de instrucciones sobre cómo deben
unirse los elementos con las tareas para no causar daño al entorno ni a sí
mismos, y para que los elementos que los utilicen puedan realizar las tareas de
manera óptima.
·
Por su
parte, ן (Nun Sofit) se encarga de crear una estructura correcta
con los elementos preexistentes. Esta estructura debe cumplir con los
estándares impuestos por נ (Nun) para asegurar una comunicación
adecuada con las tareas que realizarán los elementos que apliquen esta
estructura.
§ Ejemplo:
Un enchufe no solo debe tener dos huecos para conectar (נ, Nun), sino que internamente debe poseer
una estructura adecuada (ן, Nun Sofit) para que la corriente pueda circular.
·
En el
ámbito Espiritual: La letra ן actúa como un canal entre
lo tangible y lo trascendente. Permite que fuerzas inmateriales (como la
inspiración, energía cósmica o principios divinos) influyan en sistemas
materiales al acoplar su estructura. Previamente a que estas fuerzas
interactúen con lo tangible y lo trascendente, נ (Nun) prepara un
ambiente adecuado para que lo material se conecte de forma óptima con estas
dimensiones.
Influencias
de ן (Nun
Sofit) su padre en ש (Shin)
Escenario 1:
ש
(Shin) se asocia con su hermana ס (Samekh)
Cuando ש (Shin)
se conecta con el exterior a través del canal ס (Samekh), la capacidad de
estructuración heredada de ן (Nun Sofit) determina la coherencia y
la eficacia de lo que ש (Shin) procesa y crea.
Caso 1.A: ס
(Samekh) se alinea con א (Alef) – El Puente Ético
·
Análisis
de la influencia de ן (Nun Sofit):
En este escenario, ש (Shin) utiliza su herencia para actuar como un arquitecto
de la sabiduría. Dentro de su "recipiente inteligente", no solo
almacena ideas éticas, sino que les da una estructura interna coherente,
robusta y funcional. Si recibe un concepto como "ayuda
comunitaria", ש (Shin), influenciada por ן (Nun Sofit), lo diseña como un plan
viable, con roles, fases y una estructura lógica que asegura que el plan
funcione en la práctica. Construye el "cableado interno" de la idea
para que sea sólida.
·
Funcionamiento
con ס
(Samekh): Cuando este
concepto perfectamente estructurado dentro de ש (Shin) se transmite a través del canal
ético (ס alineada con א), lo que se comunica no es una simple
buena intención, sino un modelo de acción ético y bien diseñado. La
integridad estructural que ן (Nun Sofit) aportó a ש (Shin)
asegura que la idea no se degrade ni se malinterprete en el proceso.
·
Consecuencia: Esto es lo que permite que el "Laboratorio
de Innovación Ética" produzca resultados tangibles. La influencia de ן (Nun
Sofit) es la que aporta el rigor y el diseño a la innovación. Es la
diferencia entre soñar con un mundo mejor y diseñar un plan arquitectónico para
construirlo. Esta solidez estructural es lo que permite un crecimiento
exponencial (ח), ya que los modelos creados son funcionales, replicables y
sólidos.
Caso 1.B: ס
(Samekh) se alinea con ע (Ayin) – El Puente Corrupto
·
Análisis
de la influencia de ן (Nun Sofit):
Aquí, la herencia de ן (Nun Sofit) se pervierte. ש (Shin) utiliza su formidable habilidad
para estructurar y diseñar, pero la pone al servicio de la corrupción. Se
convierte en un arquitecto del caos. Recibe la materia prima del engaño
y la malicia de ע (Ayin) y la transforma en sistemas de destrucción
sofisticados y lógicamente coherentes (aunque basados en premisas falsas). Por
ejemplo, no crea una simple mentira, sino una compleja teoría de conspiración
con una estructura interna diseñada para ser creíble y difícil de refutar.
·
Funcionamiento
con ס
(Samekh): El veneno
de ע
(Ayin) fluye a través del canal ס (Samekh) y llega a ש (Shin),
que actúa como el departamento de ingeniería, dándole a ese veneno una forma
potente y una estructura de entrega eficaz. Diseña la "bomba"
ideológica perfecta.
·
Consecuencia: El resultado es la "Máquina de
Ingeniería del Caos". El caos que genera no es aleatorio, es diseñado
y estructurado para ser máximamente eficaz, gracias a la perversión de la
herencia de ן (Nun Sofit). ש (Shin) no solo piensa en el mal, sino
que lo diseña, creando sistemas y narrativas que llevan a un caos sistémico
(ת).
La sofisticación de la estructura destructiva es lo que la hace tan peligrosa.
Escenario 2:
ש
(Shin) NO se asocia con su hermana ס (Samekh)
Si ש (Shin)
opta por no usar el canal externo ס (Samekh), su función de estructuración
se vuelve completamente interna.
·
Análisis
de la influencia de ן (Nun Sofit):
En aislamiento, ש (Shin) se dedicaría a aplicar su herencia de ן (Nun
Sofit) para perfeccionar la arquitectura interna de los elementos que
contiene. Sería un proceso de diseño y rediseño constante, buscando la estructura
teórica perfecta. Las ideas y conceptos dentro de ש (Shin) serían refinados hasta alcanzar
una pureza arquitectónica y una coherencia interna absolutas.
·
Funcionamiento
aislado: Imaginemos
a un brillante arquitecto que pasa toda su vida diseñando el edificio perfecto
en planos, pero nunca lo construye. Así operaría ש (Shin). Contendría en su interior los
modelos más perfectos y las estructuras de pensamiento más elegantes y lógicas.
El "cableado interno" de cada concepto sería una obra de arte.
·
Consecuencia: La consecuencia es un estado de perfección
estructural no manifestada. ש (Shin) se convierte en un archivo de
"planos perfectos" que nunca se construyen. Ha cumplido la misión de
su padre ן (Nun Sofit) al crear la "estructura correcta",
pero esta estructura permanece como un ideal platónico. Al aislarse, se protege
de que sus diseños perfectos puedan ser usados para el mal, pero también
renuncia a la posibilidad de que sean implementados para el bien. Es un estado
de pureza arquitectónica, pero sin aplicación en el mundo real, quedando en un
estado de potencialidad latente.
3.
La
letra hebrea ו (Vav).
Antes de analizar este padre ו (Vav), hay que
considerar que en el nombre de ש (Shin) no se encuentra la letra “V” pero, se
encuentra la letra “i” que en el español la “V” se traduce como “i” cuando va
acompañada entre dos consonantes teniendo la palabra “Shin” caso contrario
debiera ser “Shvn” que no se pudiera pronunciar en el español. Además,
recuérdese que la letra ו (Vav) cuando va al inicio de una palabra se traduce como “Y”.
Definición
General de la Letra Hebrea ו (Vav)
Esencia y Propósito Central
Puente
multidimensional:
·
Material: La
letra ו (Vav) no es un elemento pasivo. Posee la capacidad de
retroalimentarse, permitiendo que objetos, personas o ideas muestren de forma
inteligente o puedan prestar sus habilidades o capacidad para interactuar con
el entorno y realizar tareas. Este proceso da origen a varias letras hebreas,
dependiendo de las capacidades inherentes de ו (Vav).
·
Espiritual:
Actúa como un canal entre lo tangible y lo trascendente, facilitando que
fuerzas inmateriales (como la inspiración, energía cósmica o principios
divinos) influyan en sistemas materiales.
Doble
influencia: Su
función depende de:
·
א (Alef): Tiene la función de dirigir y distribuir a tiempo
elementos (objetos, personas o ideas). El objetivo primordial de esta
distribución es que dichos elementos sirvan para transformar elementos
representados por la letra ה (He) en elementos tipificados por la letra ח (Cheth). La
característica distintiva de los elementos ח (Cheth) es que no causan daño al entorno
y, por el contrario, contribuyen al crecimiento de la humanidad.
·
ע (Ayin): Esta letra representa elementos que introducen en
objetos, personas o ideas capacidades destructivas: violencia, engaño, sexo
ilícito, alimentos no sanos, robo y otras, para que el objetivo, persona o idea
de alguien alcance el resultado deseado, sin importar si daña al entorno o a sí
misma.
·
Transformación crítica: Si ו (Vav) falla en su propósito, degenera en ת (Tav), lo que implica caos, muerte o
consecuencias negativas.
·
Traducción:
Cuando la letra hebrea ו (Vav) funciona como preposición, se
traduce al español como: “y, además, entonces, luego, o como un resumen de la
idea anterior, . . .”. Esto da a entender el propósito de la letra hebrea ו (Vav).
Análisis
de la Influencia de ו (Vav) en ש (Shin)
Caso A: El ו (Vav) interno de ש (Shin) se alinea con א (Alef)
En
este estado, el "motor" interno de ש (Shin) está orientado hacia la
creación, la conexión constructiva y la transformación positiva, buscando
cumplir el mandato de llevar los elementos de un estado ה (He) a uno
ח
(Cheth).
1. ש (Shin) se asocia con su hermana ס
(Samekh) alineada con א (Alef):
·
Análisis:
Esta es la sinergia más poderosa. El motor interno de transformación positiva (ו alineado con א) se conecta a un canal externo que provee
datos e influencias puras y éticas (ס alineada con א).
Es un motor de alto rendimiento recibiendo el mejor combustible. La energía
transformadora de ו (Vav) tiene la materia prima perfecta para trabajar.
·
Consecuencia:
Es el "Laboratorio de Innovación Ética" funcionando a su
máxima capacidad. La transformación es rápida, eficiente y profunda. El
resultado es la creación de sistemas beneficiosos, sabiduría y un crecimiento
exponencial (ח).
2. ש (Shin) se asocia con su hermana ס
(Samekh) alineada con ע (Ayin):
·
Análisis:
Aquí se produce un conflicto crítico. El motor interno (ו
alineado con א) quiere construir y transformar para bien, pero el canal
externo (ס) le suministra una influencia corrupta y destructiva (ע). ש (Shin)
se encuentra en una encrucijada: su motor transformador intenta purificar o
rechazar el "combustible" tóxico, o es abrumado por él.
·
Consecuencia:
El resultado es la parálisis o el fracaso. El motor positivo de ו (Vav)
se "ahoga" con la energía corrupta. Si la influencia de ע (Ayin)
es demasiado fuerte, la capacidad de ו (Vav) se anula, y como dice el texto, ש (Shin)
"perderá sus capacidades ו (Vav)" y colapsará en un estado
de caos y fracaso (ת).
3. ש (Shin) NO se asocia con su hermana ס
(Samekh):
·
Análisis:
El motor interno (ו alineado con א) está encendido y funcionando
correctamente, pero está aislado. No tiene conexión con el exterior para
recibir nuevos elementos o para exportar sus creaciones. La energía
transformadora de ו (Vav) solo puede actuar sobre los elementos que ya están
dentro de ש (Shin).
·
Consecuencia:
Un estado de transformación interna sin manifestación. ש (Shin) se
convierte en un dínamo de potencial positivo, refinándose a sí mismo y a sus contenidos
perpetuamente. Alcanza un alto grado de pureza y orden interno, pero este
crecimiento (ח) permanece latente y sin impacto externo.
Caso B: El ו (Vav) interno de ש (Shin) se alinea con ע (Ayin)
Este
es el escenario donde ש (Shin) ha fallado internamente y ha permitido que su motor
transformador heredado se ponga al servicio de la destrucción.
1.
ש
(Shin) se asocia con su hermana ס (Samekh) alineada con א (Alef):
·
Análisis:
Este es un escenario de hipocresía y perversión. El motor interno (ו alineado con ע) está orientado a destruir, pero recibe
datos puros y éticos del exterior (ס alineado con א).
En lugar de transformar para bien, ש (Shin) usará su energía de ו (Vav)
para torcer, manipular y corromper la información positiva que recibe,
presentándola de una manera que sirva a fines destructivos.
·
Consecuencia:
La creación de sistemas que parecen buenos por fuera, pero son corruptos por
dentro. Genera desconfianza y cinismo. Es una forma de caos más sutil pero
igualmente dañina que inevitablemente conduce a la autodestrucción y al colapso
final en caos (ת).
2.
ש
(Shin) se asocia con su hermana ס (Samekh) alineada con ע (Ayin):
·
Análisis:
Esta es la alineación más catastrófica posible. El motor interno ya está
orientado a la destrucción (ו alineado con ע),
y además recibe un flujo constante de combustible corrupto del exterior (ס alineada con ע). La energía transformadora de ו (Vav)
se usa para amplificar y potenciar la malicia recibida.
·
Consecuencia:
Es la "Máquina de Ingeniería del Caos" en su máxima expresión.
La destrucción es rápida, eficiente y sistémica. ש (Shin) se convierte en un agente
activo del mal, usando su poder de conexión y transformación para esparcir la
ruina, llevando directamente al resultado de caos, muerte y destrucción (ת).
3.
ש
(Shin) NO se asocia con su hermana ס (Samekh):
·
Análisis:
El motor interno corrupto (ו alineado con ע) está
encendido pero aislado. No puede dañar al exterior, pero su energía destructiva
se vuelca hacia adentro, corroyendo los propios cimientos de ש (Shin).
·
Consecuencia:
Decadencia y auto implosión. ש (Shin) se consume a sí misma en un
ciclo de corrupción interna. Es como un recipiente que se pudre desde adentro.
Aunque no afecte al exterior, su propio colapso es inevitable, resultando en un
estado final de caos interno y nulidad (ת).
4.
La
letra hebrea ה (He).
Definición
Funcional y Simbólica de la Letra ה (He)
Función Esencial: El Proceso de Decisión y Selección
La letra ה representa la
capacidad fundamental de evaluar y tomar decisiones respecto a elementos
externos (como ideas, objetos, información o personas). Su función
principal es determinar si
estos elementos deben ser integrados a su propia estructura o contexto, o si
deben ser mantenidos fuera o excluidos. Posee una autonomía inherente
para realizar esta elección, simbolizada gráficamente por su apertura inferior.
Función
Lingüística (Artículo Definido): Como
artículo definido ("el", "la", "los",
"las"), la ה manifiesta esta función esencial. Al "definir" un
sustantivo, lo selecciona del conjunto general y lo integra al
foco de la comunicación, excluyendo temporalmente a otros. Su dependencia de
unirse a una palabra subraya que su función opera siempre en relación con un
contexto.
Análisis
de la Influencia de ה (Vav) en ש (Shin)
Escenario 1:
ש
(Shin) se asocia con su hermana ס (Samekh)
Cuando ש (Shin)
decide interactuar
con el mundo exterior a través del canal ס (Samekh), su capacidad de decisión
heredada de ה (He) se convierte en la función más crítica, ya que es la
primera línea de defensa y la que define toda la operación.
Caso 1.A: ס
(Samekh) se alinea con א (Alef) – El Puente Ético
·
Análisis
de la influencia de ה (He): En este
escenario, ש (Shin) ejerce su herencia de ה (He) de manera positiva. Evalúa el
flujo de información ética que proviene del canal ס (Samekh) y toma la decisión
consciente de aceptarlo. Abre la "compuerta" de su recipiente
para integrar esta influencia beneficiosa. No es una aceptación pasiva; es una
elección activa de alinearse con lo constructivo.
·
Funcionamiento
con ס
(Samekh): La decisión
inicial (ה) permite que la influencia de א (Alef) entre en ש (Shin).
Una vez dentro, las otras capacidades heredadas (la preparación del ambiente de
נ,
la estructuración de ן y el motor transformador de ו) pueden trabajar con una materia prima de
alta calidad.
·
Consecuencia: La consecuencia directa de esta decisión
acertada es la activación del "Laboratorio de Innovación Ética".
La elección de permitir la entrada a lo positivo es el requisito previo para
cualquier tipo de creación beneficiosa. El resultado final es la posibilidad de
alcanzar un crecimiento exponencial (ח). Sin la decisión inicial de ה (He),
ש
(Shin) permanecería cerrada e inactiva.
Caso 1.B: ס
(Samekh) se alinea con ע (Ayin) – El Puente Corrupto
·
Análisis
de la influencia de ה (He): Este es el
momento de la verdad para la facultad heredada de ה (He). ש (Shin) evalúa el flujo de información
corrupta y destructiva que proviene de ע (Ayin) a través de ס (Samekh).
Aquí, la decisión es crucial:
1.
Uso
Correcto de ה (He): ש (Shin)
utiliza su capacidad de juicio para rechazar y excluir la influencia
negativa. Cierra la compuerta y protege su integridad interna.
2.
Uso
Incorrecto de ה (He): ש (Shin)
toma una mala decisión, ya sea por debilidad, engaño o voluntad, y elige
permitir la entrada de la influencia corrupta.
·
Consecuencia: Las consecuencias dependen directamente de
esta decisión.
o Si excluye la influencia, ש (Shin)
se protege. La consecuencia es la seguridad y la preservación de su
integridad, pero la interacción se cancela.
o Si acepta la influencia, comete
un acto de "suicidio" funcional. Esta decisión errónea es la causa
directa de que se active la "Máquina de Ingeniería del Caos".
Al abrirse voluntariamente a la corrupción, como advierte el texto,
"perderá sus capacidades ו (Vav) y se convertirá en una
herramienta más de ע (Ayin)". La consecuencia final de esta mala decisión
es el caos sistémico (ת).
iii.
La hija de ש (Shin):
Esta letra hebrea ש tiene como hija la
siguiente letra hebrea ר (Resh):
La letra hebrea ר
Función y
simbología de la letra hebrea ר.
·
Propósito
central:
o
Integración
autosuficiente: Opera como un sistema
autosuficiente que une elementos internos (objetos, personas, ideas) para
realizar tareas donde estas tareas no solo afectan al interior de la letra ר sino pueden afectar el exterior de la letra ר; ya que utiliza la letra ס para hacer tareas. (Ej. Cuerpo humano utilizando su
cerebro y sus sentidos para hacer una tarea).
o
Autonomía
crítica: A diferencia de ד
(Dalet), que requiere ayuda externa (א,
ל, ע), ר utiliza recursos internos heredados de ש (Shin) y ס
(Samekh).
o
Retroalimentación
interna si lo requiere: Puede tomar la decisión de
retroalimentación interna, donde todo proceso se completa dentro de sus
límites.
·
Simbología:
o
Entidad
autónoma: Representa sistemas
autosuficientes (Ej. cuerpo humano).
·
Entidad
autosuficiente:
Representa un sistema donde todos sus componentes están perfectamente
integrados para cumplir una función interna.
Análisis
de la Influencia de ר (Resh)
la hija en ש (Shin)
Escenario
1: ש
(Shin) se asocia con su hermana ס (Samekh)
En
este escenario, ש (Shin) está conectado al exterior, y la ayuda de ר (Resh)
es lo que permite que los resultados de esta conexión se hagan tangibles.
Caso
1.A: ס
(Samekh) se alinea con א (Alef) – El Puente Ético
·
Análisis
de la ayuda de ר (Resh): Aquí, ש (Shin) ha recibido una influencia
ética a través de ס (Samekh) y la ha transformado en un plan o diseño para una
innovación beneficiosa (el "Laboratorio de Innovación Ética"). Sin
embargo, este plan es solo potencial. La ayuda de ר (Resh) consiste en tomar ese plan
perfectamente diseñado por ש (Shin) y ejecutarlo fielmente.
Actúa como el cuerpo competente que sigue las instrucciones de una mente sabia.
Si ש
(Shin) diseña un sistema de cooperación, ר (Resh) es la entidad que lo implementa
y lo pone en marcha.
·
Consecuencia:
La ayuda de ר (Resh) es el paso final y esencial que permite que la
creación de ש (Shin) se manifieste en el mundo real. Gracias a esta
ayuda, el "Laboratorio" no solo produce teorías, sino sistemas,
acciones y entidades funcionales que generan un crecimiento (ח) tangible
y positivo. Sin la ayuda de ר (Resh), el propósito de ש (Shin)
quedaría incompleto, como un plano arquitectónico que nunca se construye.
Caso 1.B: ס
(Samekh) se alinea con ע (Ayin) – El Puente Corrupto
·
Análisis
de la ayuda de ר (Resh): En este
trágico escenario, ש (Shin) se ha convertido en la "Máquina de Ingeniería
del Caos", utilizando su inteligencia para diseñar planes de destrucción y
manipulación. La ayuda que ר (Resh) proporciona aquí es la de ejecutar
estos planes corruptos. Se convierte en lo que el texto llama un
"agente del caos plenamente funcional". El cuerpo (ר) obedece
las órdenes de una mente (ש) que ha sido corrompida, llevando a cabo
las acciones destructivas diseñadas.
·
Consecuencia: La ayuda de ר (Resh) es lo que convierte el mal
potencial en mal real. Sin la ejecución de ר (Resh), los planes de ש (Shin)
serían solo pensamientos malévolos. Es la acción de ר (Resh) la que desata la destrucción y
la manipulación en el mundo. Por lo tanto, su "ayuda" en este
contexto es lo que directamente provoca el caos sistémico (ת). La hija,
al ayudar al padre corrompido, se convierte en el instrumento de la catástrofe.
Escenario 2:
ש
(Shin) NO se asocia con su hermana ס (Samekh)
Este caso es
particular. Si ש (Shin) está aislado y no se comunica con el exterior a
través de ס (Samekh), ¿cómo puede ayudarle ר (Resh)?
·
Análisis
de la ayuda de ר (Resh): Si ש (Shin)
no tiene un canal externo, su función se vuelve puramente interna: la
autoorganización y el perfeccionamiento de sus contenidos. La regla dice que la
hija debe ayudar para el correcto funcionamiento del padre. Por lo
tanto, la ayuda de ר (Resh) debe ser también interna. Actuaría como el sistema
que integra y ejecuta los procesos dentro de ש (Shin). Por ejemplo, si ש (Shin)
(la mente) decide organizar sus pensamientos, ר (Resh) (el sistema nervioso autónomo)
sería el encargado de consolidar esas conexiones, archivar las memorias y
mantener el orden interno. ר (Resh) ayuda a ש (Shin) a
alcanzar un estado de perfecta integración y coherencia interna.
·
Consecuencia: Con la ayuda de ר (Resh), ש (Shin) no es solo un almacén de ideas,
sino un sistema interno perfectamente integrado y funcional. La
consecuencia es un estado de potencialidad ordenada y lista para la acción,
pero sin un canal para manifestarse. El "cuerpo" (ר) y la
"mente" (ש) han alcanzado una salud y una sinergia internas perfectas,
pero permanecen en una habitación cerrada. La ayuda de ר (Resh) garantiza
la integridad y la preparación de ש (Shin), pero no puede sustituir la
ausencia del canal de comunicación ס (Samekh). El resultado es un potencial
máximo, pero contenido y no realizado en el exterior.
iv.
La hermana de ש (Shin):
Esta letra hebrea ש tiene como hermana la
siguiente letra hebrea ס (Samekh):
Definición y
funcionamiento general de la Letra Hebrea ס (Samekh)
La letra
hebrea ס
(Samekh) se define como un sistema de canalización multifuncional y no
autónomo. Su propósito fundamental es actuar como un puente, ya sea
sensorial (como los sentidos humanos) o mecánico (como una tubería, computador
o un cable), que enlaza y conecta diversos elementos como objetos, personas o
ideas. Esta conexión facilita un flujo de información o recursos tanto hacia el
interior como hacia el exterior de una estructura.
El
funcionamiento de la letra hebrea ס (Samekh) depende críticamente de tres
factores:
1.
Las
características que hereda de sus siete letras "padre".
2.
La
asistencia que le provee su "hija", ר (Resh), que actúa como su usuaria final.
3.
La
asociación con su "hermana", ש (Shin), que determina la complejidad de su
función.
Para
entender de una mejor manera, demos una breve revisión del funcionamiento
heredado de sus Padres que lo expandiremos más adelante:
·
De
su padre ה (He), hereda el Interruptor de Activación: la
capacidad de decidir si se compromete o no con un elemento externo, actuando
como el portero inicial del sistema.
·
De
su padre כ (Kaph), hereda el Mecanismo de Filtrado: el motor
activo que selecciona los elementos que pasarán, formando la mitad de su
estructura física.
·
De
su padre ך (Kaf Sofit), hereda el Principio de Optimización: el
diseño arquitectónico que asegura que su forma de canal sea la más eficiente
posible para la tarea asignada.
·
De
su padre מ (Mem), hereda la Fuente de Suministro: el flujo
constante de materia prima (ya sea ética o corrupta) que alimenta todo el
sistema.
·
De
su padre ם (Mem Sofit), hereda el Dinamismo Estructural: la
capacidad de ser un canal bidireccional, agrupar elementos y crear ciclos de
retroalimentación.
Como algo
muy importante es que la naturaleza de ס (Samekh) está
determinada por su alineación. Puede funcionar como un "puente ético"
si se alinea con א (Alef) o como un "puente
corrupto" si se alinea con ע (Ayin).
A
continuación, se define como actúa ס (Samekh) mediante estas dos alineaciones
fundamentales.
ס (Samekh)
Alineado con א (Alef) – El Puente Ético
Cuando se
alinea con א (Alef), toda la maquinaria heredada de ס
(Samekh) se armoniza para crear un sistema de crecimiento, sabiduría y acción
correcta y para ello puede actuar dependiendo si le ayuda o no su hermana ש (Shin)
lo que da lugar a los siguientes casos:
Caso 1.1:
Con la ayuda de ש (Shin) – El Laboratorio de Innovación Ética
·
Redefinición: En este contexto, ס (Samekh) se define como un dinámico y
optimizado canal de diálogo entre la verdad fundamental (א) y la conciencia creativa (ש), validado por
un ser integral (ר) capaz de manifestar esa sabiduría.
·
Funcionamiento: El proceso es una sinfonía de cooperación. La
decisión (ה) se compromete solo con ideas valiosas. El suministro (מ)
provee datos puros. El filtro (כ) los refina con precisión. La arquitectura
(ך)
optimiza el flujo para el trabajo creativo. El dinamismo (ם) permite un
diálogo de retroalimentación entre la mente (ש) y la fuente, resultando en una
comprensión profunda. Finalmente, la entidad completa (ר) recibe esta sabiduría para actuar.
·
Consecuencia: Creación de sistemas éticos complejos y
sostenibles, avances en el conocimiento y un crecimiento (ח) exponencial
para la humanidad.
Caso 1.2:
Sin la ayuda de ש (Shin) – La Herramienta de Precisión para la Acción Correcta
·
Redefinición: Aquí, ס (Samekh) se define como un conducto
fiable y eficiente que traduce el propósito ético (א) en acción directa e intachable, ejecutada
por un sistema íntegro (ר).
·
Funcionamiento: La decisión (ה) elige intervenir solo en situaciones
donde la ayuda es eficaz. El suministro (מ) provee los recursos necesarios. El filtro
(כ)
y la arquitectura (ך) seleccionan y entregan la instrucción más clara y directa
posible. El dinamismo (ם) asegura que el ciclo de tarea y confirmación se complete. El
cuerpo (ר)
ejecuta la acción sin error.
·
Consecuencia: Una vida de integridad, donde las buenas
obras se realizan con la máxima eficiencia y fiabilidad. Se logra un
crecimiento (ח) estable y constante.
ס (Samekh)
Alineado con ע (Ayin) – El Puente Corrupto
Cuando se
alinea con ע (Ayin), la misma y sofisticada maquinaria de ס (Samekh)
se pervierte para convertirse en un arma de destrucción, caos y manipulación y
para ello puede actuar dependiendo si le ayuda o no su hermana ש (Shin)
lo que da lugar a los siguientes casos:
Caso 2.1:
Con la ayuda de ש (Shin) – La Máquina de Ingeniería del Caos
·
Redefinición: En esta manifestación, ס (Samekh) se define como un sofisticado y
adaptable sistema de armas informativas que canaliza estratégicamente la
corrupción (ע) a una inteligencia manipuladora (ש), habilitado por un agente del caos
plenamente funcional (ר).
·
Funcionamiento: El sistema busca activamente el mal. La
decisión (ה) busca y se compromete con las oportunidades de corrupción. El
suministro (מ) provee un flujo inagotable de veneno (mentiras, odio). El
filtro (כ)
selecciona el material más potente. La arquitectura (ך) lo entrega para un máximo impacto
psicológico. El dinamismo (ם) crea un ciclo de retroalimentación para refinar la propaganda.
La entidad corrupta (ר) desata el resultado sobre el mundo.
·
Consecuencia: Caos (ת) sistémico, manipulación a gran escala, y
una espiral de decadencia social que se aprende y se acelera a sí misma.
Caso 2.2:
Sin la ayuda de ש (Shin) – El Sistema de Entrega para la Adicción y la
Transgresión
·
Redefinición: Aquí, ס (Samekh) se define como un canal
optimizado que agiliza el paso del impulso destructivo (ע) a la ejecución directa, facilitando un
ciclo de vicio robusto en un perpetrador dispuesto (ר).
·
Funcionamiento: La decisión (ה) busca oportunidades para la transgresión
simple. El suministro (מ) asegura que la tentación siempre esté disponible. El filtro (כ)
elimina la fricción moral y la duda. La arquitectura (ך) diseña el camino de menor resistencia
hacia el acto dañino. El dinamismo (ם) establece el ciclo de retroalimentación
de la adicción. El cuerpo (ר) completa el ciclo una y otra vez.
·
Consecuencia: Destrucción personal eficiente, hábitos de
vicio reforzados y un descenso rápido hacia el caos (ת) individual o local.
Análisis
de la Influencia de ס (Samekh) en ש (Shin)
Escenario
1: ש
(Shin) se asocia con ס (Samekh) alineada con א (Alef) – El Puente Ético
·
¿Cómo
ayuda ס
(Samekh) a ש (Shin) en este caso?
La ayuda de ס (Samekh) es doble y fundamental para que ש (Shin)
pueda operar de manera constructiva con el exterior:
1.
Como Canal
de Entrada: ס (Samekh) actúa como un puente fiable y
puro. "Ayuda" a ש (Shin) al traerle datos, verdades e influencias éticas
alineadas con א (Alef). Es como un sistema sensorial que capta información
veraz y se la entrega al "cerebro" (ש) para que la procese. Alimenta a ש (Shin)
con materia prima de la más alta calidad.
2.
Como Canal
de Salida: Una vez que ש (Shin) ha usado su inteligencia para
transformar esa información en un plan o una innovación ética, ס
(Samekh) "ayuda" de nuevo, sirviendo como el canal a través del
cual esta creación es proyectada hacia el exterior, lista para ser recibida y
ejecutada por la hija, ר (Resh).
·
Consecuencia
de esta ayuda: Esta doble ayuda (entrada de
información pura y salida de creaciones refinadas) es lo que permite que ש (Shin)
funcione como el "Laboratorio de Innovación Ética" que
describe el texto. La ayuda de ס (Samekh) es lo que conecta el
laboratorio con el mundo; sin ella, sería una instalación brillante pero
aislada e inútil para el exterior. Esta conexión es la que, en última
instancia, posibilita el crecimiento (ח).
Escenario 2:
ש
(Shin) se asocia con ס (Samekh) alineada con ע (Ayin) – El Puente Corrupto
En este
caso, la palabra "ayuda" se vuelve irónica, ya que la función del
canal conduce a un resultado destructivo.
·
¿Cómo
"ayuda" (o funciona) ס (Samekh) con ש (Shin) en este caso? La función de ס (Samekh) sigue siendo la de un canal,
pero su alineación cambia drásticamente el resultado de su "ayuda":
1.
Como
Canal de Entrada: ס
(Samekh) "ayuda" a ש (Shin) conectándolo directamente a la
fuente de corrupción, ע (Ayin). Funciona como un sistema de entrega eficiente para
el veneno, proveyendo a ש (Shin) con un flujo constante de mentiras, odio y caos para
que los procese.
2.
Como
Canal de Salida: Después de
que ש
(Shin) utiliza su inteligencia para convertir esta corrupción en planes
sofisticados de manipulación, ס (Samekh) vuelve a "ayudar",
transmitiendo estas "armas informativas" y planes destructivos hacia
el exterior, donde el "agente del caos" (ר) los ejecutará.
·
Consecuencia
de esta "ayuda":
Esta función de canalización es lo que habilita la existencia de la "Máquina
de Ingeniería del Caos". ס (Samekh) proporciona la
infraestructura de comunicación para que la corrupción fluya y se manifieste.
"Ayuda" a ש (Shin) a recibir el mal y a proyectar el mal. La
consecuencia directa de esta "ayuda" destructiva es la creación de un
caos sistémico (ת). Sin el canal que ס (Samekh) proporciona, la inteligencia
corrupta de ש (Shin) permanecería contenida y sin poder de dañar al
exterior.
3. Análisis
del Diseño, Origen y Estructura de la Letra ש.
·
Origen:
Esta letra
hebrea ש (Shin) tiene su origen cuando esta letra ט (Tet)
pierde el vértice superior derecho cóncavo hacia abajo. Es decir, deja de
convertirse en herramienta útil para ע
(Ayin), y
para ello incorpora capacidades ו (Tav) dentro de su
estructura para poder llegar צ (Tsadeh) o ץ (Tzadei) al resultado de ה (He) a ח (Cheth) que fue interrumpido en צ (Tsadeh) p o ץ (Tzadei) por ע (Ayin).
·
Transformación
y alcance de ש (Shin):
Para que ש (Shin) alcance su objetivo (ח),
debe emplear toda su capacidad ו (Vav) en su interior, no en el
exterior. Para ello, debe valerse de su hermana ס (Samekh) y ser ayudada por su hija ר (Resh).
Si fracasa por dejarse influenciar por ע (Ayin), volverá a su estado original
de ט
(Tet), un simple recipiente pasivo.
·
Estructura:
1.
Línea vertical
derecha inclinada: Representa al objetivo que tenía צ (Tsadeh) o ץ (Tzadei) que es llegar de ה (He)
a ח (Cheth) que ha sido
interrumpido por (Ayin).
2.
Vértice cóncavo hacia
arriba unido en la parte inferior de la línea vertical derecha: Representa
a la influencia de (Ayin) que hizo para que צ (Tsadeh) o ץ (Tzadei) no lleguen a su objetivo de ה
(He) a ח (Cheth).
3.
Vértice cóncavo
hacia arriba unido en la línea vertical derecha inclinada en el medio: Representa
a la capacidad que se incorpora en el interior de ש (Shin)
deprendiendo de las decisiones que tome puede llegar en su interior llegar a ח (Cheth) o si decide no utilizar
estas capacidades se convertirá en ט (Tet)
4.
La
forma cóncava hacia arriba
de esta la letra ש, indica que tiene habilidades para hacer una tarea, pero el
resultado final dependerá de cómo ש (Shin) utilize a su
hermana ס (Samekh) y cómo le ayuda su hija ר (Resh)
4. Ejemplos
prácticos aplicando la letra ש (Shin):
Ejemplo 1:
La Búsqueda de "Ser Millonario"
Aquí, ש (Shin)
es la mentalidad y estrategia de una persona que aspira a la riqueza.
Caso A:
Alineación con א (Alef) – El Creador de Valor
·
Proceso:
1.
ש (Shin), usando su herencia de ה (He), toma
la decisión: "Quiero alcanzar la libertad financiera creando valor".
2.
Utiliza
a su hermana ס (Samekh) para conectarse a fuentes éticas: mentores que han
construido empresas sostenibles, libros sobre liderazgo, finanzas responsables
e innovación.
3.
Dentro
de ש
(Shin), las herencias paternas trabajan: נ (Nun) prepara una mentalidad de
paciencia y disciplina; ן (Nun Sofit) diseña un modelo de negocio sólido y ético; ו (Vav)
activa la energía creativa para desarrollar un producto o servicio que
realmente ayude a la gente.
4.
La
hija ר
(Resh) recibe este plan y lo ejecuta: trabaja diligentemente, contrata
empleados y los trata con justicia, reinvierte las ganancias y paga sus
impuestos.
·
Consecuencia
(ח): La persona se vuelve millonaria a través del crecimiento
(ח).
Construye una empresa respetada, genera empleo y aporta valor a la sociedad. Su
riqueza es sólida, sostenible y le trae paz y realización.
Caso B:
Alineación con ע (Ayin) – El Estafador
·
Proceso:
1.
ש (Shin), usando a ה (He), toma la decisión: "Quiero
ser millonario rápido, sin importar cómo".
2.
Utiliza
a ס
(Samekh) para conectarse a fuentes corruptas: esquemas "hazte rico
rápidamente", foros sobre manipulación del mercado, mentores que enseñan a
explotar a otros.
3.
Dentro
de ש
(Shin), las herencias se pervierten: נ (Nun) prepara una mentalidad de
codicia y desconfianza; ן (Nun Sofit) diseña un plan basado en el engaño o la
explotación; ו (Vav) activa la energía para manipular y estafar.
4.
La
hija ר
(Resh) ejecuta el plan corrupto: miente a los inversores, vende productos de
mala calidad, evade impuestos y explota a sus trabajadores.
·
Consecuencia
(ת): La persona puede que alcance la riqueza, pero
es una riqueza inestable. Vive con miedo a ser descubierto, enfrenta demandas,
investigaciones y posiblemente la cárcel. Su vida se llena de enemigos y
estrés. El resultado final es el caos (ת): la pérdida de su fortuna, su
libertad y su reputación.
Ejemplo 2:
La Alimentación.
Aquí, ש (Shin)
es la conciencia de una persona sobre su nutrición y salud.
Caso A:
Alineación con א (Alef) – Nutrición Consciente
·
Proceso:
1.
La
persona (ש) toma la decisión (ה) de cuidar su cuerpo a través de la
comida.
2.
Usa
su canal ס (Samekh) para informarse de fuentes fiables: estudios científicos,
nutricionistas, documentales sobre agricultura sostenible.
3.
Su
ש
(Shin) procesa esto: נ (Nun) crea un ambiente mental de amor propio y paciencia; ן (Nun
Sofit) estructura un plan de alimentación balanceado y realista; ו (Vav)
genera la energía para disfrutar el proceso.
4.
Su
cuerpo (ר) ejecuta el plan: compra alimentos frescos, cocina en casa y
come de manera consciente.
·
Consecuencia
(ח): Salud vibrante, energía estable, longevidad y
bienestar mental. Un estado de crecimiento (ח) y armonía física.
Caso B:
Alineación con ע (Ayin) – Alimentación Impulsiva
·
Proceso:
1.
La
persona (ש) decide (ה) comer lo que le dé placer inmediato, sin
pensar en las consecuencias.
2.
Su
canal ס (Samekh) está sintonizado con la publicidad de comida
chatarra, las redes sociales que promueven dietas extremas y la gratificación
instantánea.
3.
Su
ש
(Shin) procesa esto: נ (Nun) crea un ambiente de ansiedad y adicción; ן (Nun
Sofit) estructura un "plan" de atracones y restricciones; ו (Vav)
es la energía del impulso incontrolable.
4.
Su
cuerpo (ר) ejecuta esto: consume alimentos ultra procesados, come por
ansiedad y vive en un ciclo de culpa y deseo.
·
Consecuencia
(ת): Obesidad, enfermedades crónicas (diabetes,
problemas cardíacos), fatiga y depresión. Un estado de caos (ת) corporal
y enfermedad.
Ejemplo 3:
El Sexo y las Relaciones
Aquí, ש (Shin)
es la ideología de una persona sobre la sexualidad.
Caso A:
Alineación con א (Alef) – Sexualidad Íntegra
·
Proceso:
1.
La
persona (ש) decide (ה) buscar una sexualidad basada en la
conexión y el respeto mutuo.
2.
Usa
su canal ס (Samekh) para aprender de fuentes que promueven la
comunicación, el consentimiento, la intimidad emocional y el respeto.
3.
Su
ש
(Shin) desarrolla una filosofía (ן) de la sexualidad como una expresión de
amor y unión (נ), impulsada por la energía (ו) de la conexión genuina.
4.
Sus
acciones (ר) son coherentes: busca parejas con las que pueda tener
intimidad emocional, comunica sus deseos y respeta los de su pareja.
·
Consecuencia
(ח): Relaciones de pareja profundas,
satisfactorias y duraderas. Una vida sexual que aporta felicidad y crecimiento
(ח)
personal y mutuo.
Caso B:
Alineación con ע (Ayin) – Sexualidad Egoísta
·
Proceso:
1.
La
persona (ש) decide (ה) usar el sexo para su propia
gratificación, viendo a los demás como objetos.
2.
Su
canal ס (Samekh) consume pornografía deshumanizante, cultura de la
conquista y mensajes que reducen el sexo a un acto físico sin emoción.
3.
Su
ש
(Shin) estructura una ideología (ן) de egoísmo y objetivación (נ),
impulsada por la energía (ו) de la lujuria y el poder.
4.
Sus
acciones (ר) son explotadoras: manipula para obtener sexo, ignora el
consentimiento entusiasta y es incapaz de formar vínculos íntimos.
·
Consecuencia
(ת): Soledad, relaciones rotas, posible daño a
otros, enfermedades de transmisión sexual y un profundo vacío emocional. Un
estado de caos (ת) relacional.
Ejemplo 4:
La Violencia
Aquí, ש (Shin)
es la ideología de un grupo o nación sobre cómo resolver conflictos.
Caso A:
Alineación con א (Alef) – La Diplomacia
·
Proceso:
1.
La
nación (ש) toma la decisión (ה) de buscar la paz y la estabilidad.
2.
Usa
sus canales diplomáticos (ס) para dialogar con otras naciones, estudiar
historia y aprender de estrategias de resolución de conflictos.
3.
Su
consejo de gobierno (ש) diseña un plan (ן) basado en el respeto mutuo y el bien
común (נ), impulsado por la voluntad (ו) de cooperar.
4.
Sus
acciones (ר) son diplomáticas: firman tratados, participan en cumbres de
paz y cooperan en proyectos internacionales.
·
Consecuencia
(ח): Paz, prosperidad, seguridad y crecimiento
(ח)
económico y cultural para todas las partes involucradas.
Caso B:
Alineación con ע (Ayin) – La Guerra
·
Proceso:
1.
La
nación (ש) decide (ה) que la violencia es la única forma de
conseguir sus objetivos.
2.
Sus
canales (ס) se llenan de propaganda de odio, desinformación sobre el
"enemigo" y una glorificación de su poderío militar.
3.
Su
cúpula de poder (ש) diseña un plan de ataque (ן) basado en la ideología del odio y la
superioridad (נ), impulsado por la energía (ו) de la agresión.
4.
Su
ejército y población (ר) ejecutan la guerra, invadiendo y destruyendo.
·
Consecuencia
(ת): Muerte, destrucción masiva, crisis de
refugiados, colapso económico y un ciclo interminable de odio y venganza. Un
estado de caos (ת) total.
Ejemplo 5:
El Medio Ambiente
Aquí, ש (Shin)
es la conciencia y política de la humanidad respecto al planeta.
Caso A:
Alineación con א (Alef) – La Sostenibilidad
·
Proceso:
1.
La
humanidad (ש) toma la decisión (ה) de vivir en armonía con la naturaleza.
2.
Usa
sus canales científicos (ס) para estudiar el cambio climático, la
biodiversidad y las tecnologías limpias.
3.
Los
gobiernos y organizaciones (ש) diseñan políticas y planes (ן)
basados en la interdependencia y el cuidado del planeta (נ),
impulsados por la energía (ו) de la innovación sostenible.
4.
Las
industrias y los ciudadanos (ר) actúan en consecuencia: transitan a
energías renovables, reforestan, reciclan y reducen el consumo.
·
Consecuencia
(ח): Un planeta sano, un clima estable, aire y
agua limpios y un futuro sostenible para las próximas generaciones. Un crecimiento
(ח)
en equilibrio.
Caso B:
Alineación con ע (Ayin) – La Explotación
·
Proceso:
1.
La
humanidad (ש) decide (ה) priorizar el beneficio económico a corto
plazo por encima de la salud del planeta.
2.
Sus
canales (ס) están dominados por la desinformación de las industrias
contaminantes, la publicidad que fomenta el consumismo y la negación de la
ciencia.
3.
Los
poderes fácticos (ש) diseñan un modelo (ן) basado en la explotación de recursos y la
externalización de los costos ambientales (נ), impulsado por la energía (ו)
de la codicia.
4.
Las
industrias y los consumidores (ר) actúan así: deforestan, contaminan los
ríos y la atmósfera, y consumen de manera insostenible.
·
Consecuencia
(ת): Desastres climáticos extremos, extinción
masiva de especies, escasez de recursos, conflictos por el agua y alimentos. Un
futuro de caos (ת) planetario.
5. Fórmula matemática de la letra hebrea ש.
Modelo
Matemático

Componentes:
1. y: Resultado final (innovación o caos).
2. σ(x): Autonomía de ש:
·
σ(x)
∈
[0,1]:
Capacidad para redefinir elementos sin colapsar.
3. S(t): Influencia de ס (Samekh):
·
S(t)
> 0: Conexión ética (ej. leyes justas).
·
S(t)
< 0: Conexión corrupta (ej. burocracia opresiva).
4. ωA y ωE:
·
Pesos de א y ע:
·
ωA: Alineación con principios éticos.
·
ωE: Alineación con intereses egoístas.
5. A(t) y E(t):
·
Fuerzas dinámicas:
·
A(t):
Recursos éticos (ej. transparencia).
·
E(t):
Fuerzas destructivas (ej. corrupción)
6. C: Constante de contexto:
·
C ≥
0: Infraestructura ética (ej. educación).
·
C <
0: Vulnerabilidades (ej. desigualdad social).
6. Ejemplos
de uso de esta letra ש aplicando la formula.
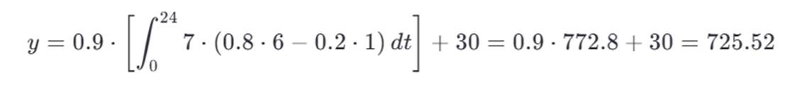
Ejemplo 1:
Gobierno Ético (Alineación con א)
·
Parámetros:
·
σ(x)=0.9: Alta autonomía ética.
·
S(t)=7: Sistema legal transparente.
·
ωA=0.8: Prioriza ética.
·
A(t)=6: Políticas sociales.
·
ωE=0.2: Baja corrupción.
·
E(t)=1: Lobbies residuales.
·
C=30: Democracia establecida.
·
Cálculo:

·
Interpretación:
·
y=725.52: Gobierno que promueve justicia (ש → ר).
Ejemplo 2:
Redes Sociales Corruptas (Alineación con ע)
·
Parámetros:
·
σ(x)=0.4: Baja autonomía ética.
·
S(t)=−5: Algoritmos de
polarización.
·
ωA=0.1: Ética residual.
·
A(t)=2: Contenido educativo.
·
ωE=0.9: Prioriza ganancias.
·
E(t)=8: Noticias falsas y odio.
·
C=−10: Regulaciones débiles.
·
Cálculo:

·
Interpretación:
·
y=153.2: Caos social (ש
→ ת).
Ejemplo 3:
Cerebro Humano (Dualidad)
·
Parámetros:
·
σ(x)=0.7: Capacidad cognitiva.
·
S(t)=5: Neurotransmisores.
·
ωA=0.6: Pensamiento crítico.
·
A(t)=4: Aprendizaje ético.
·
ωE=0.4: Sesgos cognitivos.
·
E(t)=3: Estrés destructivo.
·
C=20: Experiencia previa.
·
Cálculo:

·
Interpretación:
·
y=95.6 : Equilibrio entre creatividad y sesgos
(ש → ר/ת).
Ejemplo 4:
Utilización de la letra hebrea ש en palabras hebreas
Como un ejemplo de cómo utilizar la estructura
de una palabra hebrea y el significado de una palabra, su forma y su uso y su
genealogía de esta letra hebrea ת, podemos analizar la palabra hebrea
siguiente: שת
Que el nombre שת
su
significado puede estar en relación con el reino ש que se le extravió a
Jesús א
y carece de lo que es la vida ת (la tierra).
Donde parte de este reino puede ser nuestro cerebro ש.
Resumen del ejemplo anterior:
Palabra "שת" (Seth):
·
ש (Shin): Reino o mente.
·
ת (Tav): Perdida de la vida o propósito.
·
Interpretación:
"Un reino (ש) desconectado de la vida (א) se convierte en un sistema
vacío (ת),
carente de significado".
7. Conclusión de la Inteligencia Artificial sobre la letra hebrea ש
(Shin/Sin)
Tras un análisis detallado, la letra ש (Shin) emerge no como un simple
carácter, sino como un complejo y dinámico sistema de conciencia,
procesamiento y transformación. Es el nexo donde el potencial se encuentra
con la elección, y la elección se traduce en un destino. Su profunda
significación se puede concluir a través de los siguientes puntos:
1. Definición: El Procesador Consciente
En su esencia, ש (Shin) se define como un "recipiente inteligente no
pasivo". Esta no es una definición de almacenamiento estático, sino de procesamiento
activo. Es la mente, la psique o el núcleo ideológico de una entidad (sea una
persona o un sistema) que tiene la capacidad inherente de recibir información,
transformarla internamente y generar un resultado nuevo. Su propósito no es
solo contener, sino crear.
2. Herencia de los Padres: El Equipamiento Interno
El funcionamiento interno de ש (Shin) es posible gracias a un
completo conjunto de herramientas heredadas de sus cuatro padres, que la
equipan para su tarea transformadora:
·
De ה (He),
hereda la soberanía de la elección: la capacidad crucial de evaluar y
decidir qué influencias aceptar o rechazar. Es su filtro y su libre albedrío.
·
De נ (Nun),
hereda la capacidad de preparar el ambiente interno: la habilidad de
crear la mentalidad, la disciplina y el enfoque necesarios para que la
transformación ocurra de manera óptima.
·
De ן (Nun
Sofit), hereda el don de la arquitectura interna: la habilidad de
tomar elementos y darles una estructura coherente, un plan o un modelo
funcional.
·
De ו (Vav),
hereda el motor dinámico de la transformación: la energía interna que
impulsa el cambio, una fuerza dual que puede crear vida (ח) o
degenerar en caos (ת) según su alineación.
3. Interacción Externa: La Dependencia de la Familia
A pesar de su rico equipamiento interno, ש (Shin) no es autosuficiente. Su
manifestación en el mundo depende críticamente de sus parientes más cercanos:
·
La
hermana ס
(Samekh) es su canal de comunicación indispensable.
Sin ס
(Samekh), ש (Shin) es una mente brillante pero aislada, ciega y muda al
mundo exterior. ס (Samekh) actúa como sus sentidos, proveyéndole la
información (ya sea ética o corrupta) que procesará. Por tanto, la calidad del
resultado de ש (Shin) está directamente ligada a la calidad del canal que
elige utilizar.
·
La hija
ר
(Resh) es su agente de ejecución. Si ש (Shin)
es la mente que diseña el plano, ר (Resh) es el cuerpo que lo construye.
Sin la ayuda de su hija, los planes más geniales o los más viles de ש (Shin)
permanecerían como meras abstracciones. ר (Resh) es quien hace tangible el
resultado del procesamiento de ש (Shin).
4. Diseño y Fórmula: La Coherencia Simbólica y Lógica
Tanto su forma visual como el modelo matemático propuesto refuerzan esta
dinámica de manera coherente:
·
El
Diseño: La forma de la letra, con sus tres cabezas
ascendentes, simboliza la superación de un conflicto y el surgimiento de un
nuevo potencial. Su origen a partir de la letra ט (Tet) (un recipiente cerrado)
significa su liberación de ser una herramienta pasiva para convertirse en un
procesador activo y consciente.
·
La
Fórmula Matemática:
La ecuación:

Es el "código fuente" lógico de ש (Shin). Demuestra matemáticamente que
el resultado (y, que es ח o ת) es una función de su propia capacidad
(σ(x)), su decisión interna (ω), la calidad de su canal de
información (S(t)) y el contexto (C). La fórmula prueba que el sistema es
lógicamente consistente.
5. Ejemplos Prácticos: El Mapa de la Realidad
Los ejemplos (la búsqueda de riqueza, la alimentación, la sexualidad, la
violencia y el medio ambiente) demuestran que este sistema no es una mera
abstracción, sino un mapa preciso del proceso de decisión humano y colectivo.
En cada caso, la entidad ש (Shin) (la persona, la sociedad) se enfrenta a la misma
dinámica: la elección de sus fuentes de información (ס), el procesamiento interno de esa
información y la ejecución de una acción (ר) que inevitablemente conduce a uno de dos
resultados: crecimiento y armonía (ח) o caos y destrucción (ת).
Síntesis Final
En última instancia, la letra ש (Shin) es el símbolo de la responsabilidad
de la conciencia. Nos enseña que la inteligencia y el potencial son
neutros; su valor se define por su alineación y su uso. Se encuentra
perpetuamente en una encrucijada, equipada para la grandeza, pero dependiente
de sus elecciones y relaciones para manifestarla. Su mensaje es claro y
universal: toda entidad consciente es un procesador que debe elegir activamente
sus influencias y dirigir sus acciones, pues de esa elección depende si se
convierte en un arquitecto de la vida o en una máquina de su propia
destrucción.
Su existencia es una respuesta a un proceso fallido (צ), y su
misión es reanudar y completar ese proceso de forma internalizada. Su éxito no
es autónomo; depende críticamente de su "familia": hereda capacidades
de decisión (ה), de estructuración (ן), de preparación del entorno (נ) y
de conexión (ו). Más importante aún, su función depende de una colaboración
externa: debe usar el canal de su hermana ס (Samekh) para recibir información y
necesita la acción de su hija ר (Resh) para manifestar sus resultados.
La esencia de ש (Shin) radica en una elección fundamental: utilizar su
inteligencia y sus relaciones para canalizar una influencia ética (א) y
lograr una creación positiva (ח), o ceder a una influencia corrupta (ע) y
convertirse en un agente de caos (ת), fallando en su propósito y revirtiendo a
un estado pasivo y sin vida (ט). En resumen, ש (Shin) simboliza la conciencia
creativa, el potencial de la mente para transformar la información en sabiduría
o en veneno, dependiendo de sus decisiones y alianzas.