18. La letra ר (Resh / Res / Reish).
1.
Definición General de la letra hebrea ר (Resh)
La letra ר (Resh) se define como un sistema
autosuficiente cuya función principal es integrar y unir elementos internos
(como objetos, personas o ideas) con un conjunto de tareas específicas. Aunque
es autosuficiente en su ejecución, este sistema no es cerrado, ya que las
tareas que realiza pueden generar consecuencias tanto internas como externas a
su propia estructura.
Para ejecutar sus funciones, ר (Resh)
depende del uso de la letra ס (Samekh), que funciona como un canal.
El resultado de las acciones de ר (Resh) puede ser positivo o negativo,
una dualidad que hereda directamente de su padre, ס (Samekh). La naturaleza de ס
(Samekh) está determinada por su alineación con א (Alef) (lo ético) o con ע (Ayin)
(lo crítico y caótico). La decisión final que determina el resultado es tomada
por su otro padre, ש (Shin).
En esencia, el propósito de ר (Resh) es
preparar y constituir el entorno o el "cuerpo" necesario para que ס
(Samekh) y ש (Shin) puedan llevar a cabo sus funciones y alcanzar el
objetivo que ש (Shin) persigue.
Es fundamental señalar que ר (Resh) no
tiene "hijas". Esto implica que su estructura es más que suficiente
para realizar cualquier tarea, bastándole tener como padres a ש (Shin) y ס
(Samekh). Juntas, estas tres letras tienen la capacidad de mover a todas
las demás letras hebreas según las funciones que desempeñan. Por esta razón, ר (Resh)
puede ser considerado como: un centro de control, un gobernante, un pastor o un
ser humano.
Ejemplo proporcionado: El cuerpo
humano que utiliza su cerebro (ש) y sus sentidos (ס) para realizar una tarea concreta.
2. Análisis de la Forma de la letra hebrea ר.
·
Origen
de su Forma:
La forma de la letra ר (Resh) tiene dos orígenes posibles
1.
Proviene de
la letra ח (Cheth). Cuando ח (Cheth) completa todas
sus tareas, sus dos líneas verticales se fusionan en una sola. Este proceso se
representa matemáticamente como una integración:
∫ ח→ ר
2.
También
puede derivar de la letra ו (Vav). Si los elementos (objetos, personas o ideas)
contenidos en ו (Vav) se unen para realizar una tarea interna sin utilizar nada
del exterior, ו (Vav) se transforma y asume las funciones de ר (Resh).
·
Estructura:
La letra ר (Resh) está compuesta por tres partes
fundamentales:
1.
Línea vertical
derecha: Representa
a objetos, personas o ideas bien enlazados y que tienen la facultad de unirse
mediante el vértice derecho curvado hacia la izquierda con tareas para cumplir
algún objetivo de ש (Shin)
utilizando a ס (Samekh).
2.
Línea horizontal
superior: Actúa como
tareas que se enlazan mediante el vértice derecho curvado hacia la izquierda
con objetos, personas o ideas línea vertical derecha para obtener un
resultado que persigue ש (Shin).
3.
Vértice derecho
superior cóncavo hacia la izquierda: Es el punto de unión y transformación. Funciona
como el enlace que integra los elementos internos (línea vertical) con las
tareas (línea horizontal). Este vértice procesa lo que llega desde el exterior
a través de ס (Samekh) y lo combina con los recursos internos para producir
un resultado, el cual, a su vez, puede integrarse de nuevo al sistema
dependiendo como actúe ש y como se alinea ס (Samekh) con א (Alef) o ע (Ayin).
·
Transformación
en el tiempo de la letra hebrea ר:
La letra ר (Resh) puede ser transformada
de vuelta a su origen. Si se aplica un proceso de diferenciación a ר
(Resh), su única línea vertical se separa nuevamente en dos, revirtiendo a la
forma de la letra ח (Cheth). Este proceso se representaría matemáticamente
mediante ecuaciones diferenciales.
3. Análisis de
los Padres de la Letra ר (Resh).
i.
Criterio de Paternidad y Filiación:
·
Una
letra es "padre" de otra si la primera letra de su propio
nombre se encuentra dentro del nombre de la letra "hija". La hija
hereda las características del padre.
·
Una
letra es "hija" si lleva en su nombre la primera letra del
nombre de su padre. La hija debe ayudar al padre para su correcto
funcionamiento.
·
Una
letra es "hermana" de otra si sus nombres comienzan con la
misma letra (Ej. Samekh y Shin). El funcionamiento de una depende
de cómo utiliza a la otra.
ii. Padres de ר (Resh):
La letra ר (Resh)
hereda sus características de dos padres, cuyo funcionamiento es crucial para
entenderla:
1. La letra hebrea ה
(He) como padre de ר (Resh):
a. Definición Funcional y Simbólica de la
Letra ה
(He)
Función Esencial:
El Proceso de Decisión y Selección
La letra ה representa la capacidad fundamental de evaluar
y tomar decisiones respecto a elementos externos (como ideas, objetos,
información o personas). Su función principal es determinar si estos elementos deben ser integrados a su
propia estructura o contexto, o si deben ser mantenidos fuera o excluidos.
Posee una autonomía inherente para realizar esta elección, simbolizada
gráficamente por su apertura inferior.
Función Lingüística (Artículo Definido): Como artículo definido ("el",
"la", "los", "las"), la ה manifiesta esta función esencial. Al
"definir" un sustantivo, lo selecciona del conjunto general y
lo integra al foco de la comunicación, excluyendo temporalmente a otros.
Su dependencia de unirse a una palabra subraya que su función opera siempre en
relación con un contexto.
b. Análisis de la Influencia de ה (He) en la
Estructura de ר (Resh)
Análisis
detallado sobre cómo las características heredadas del padre ה (He)
influyen en la estructura de su hija ר (Resh).
Este análisis
es particular, ya que ה (He) no solo es padre de ר (Resh), sino también de ס (Samekh). Por
lo tanto, su influencia es doble: actúa como el decisor inicial que pone
en marcha todo el sistema y, a su vez, le ha heredado a ס (Samekh) el "interruptor de
activación".
La
influencia de ה (He) en ר (Resh) es, por lo tanto, fundacional. ה (He) es quien
toma la primera decisión: si el sistema se compromete o no con un elemento
externo. Esta decisión inicial, y su alineación con lo ético (א) o lo caótico
(ע),
es la "orden de misión" que determina cómo operarán ש (Shin) y ס
(Samekh), y, en consecuencia, cómo se estructurará y actuará ר (Resh).
A
continuación, se desglosan los cuatro escenarios posibles basados en esta
cadena de mando.
Sección 1: Cuando ש (Shin) Utiliza a su Hermana ס (Samekh)
(Procesos Complejos)
En este
modo, la decisión inicial de ה (He) no es para una acción simple, sino para un proceso
creativo o estratégico complejo.
Caso 1.1: Decisión de ה (He) procesada por ס (Samekh) influenciada por א (Alef)
·
El
Rol de ה
(He) – La Decisión de Innovar Éticamente: ה (He)
evalúa una oportunidad externa (una idea, un recurso) y, alineándose con א
(Alef), toma la decisión fundamental: "Sí, vamos a integrar esto para
crear algo nuevo y beneficioso". Al "definir" y seleccionar
esta oportunidad, ה (He) activa todo el sistema con un propósito ético y creativo.
·
Influencia
en la estructura de ר (Resh): La decisión de ה (He) de innovar éticamente obliga al canal
(ס)
y a la mente creativa (ש) a configurar un "laboratorio de innovación". Esto
moldea la estructura de ר (Resh) para que se convierta en el "arquitecto de
sistemas benéficos". El cuerpo y las acciones de ר (Resh) se
convierten en la manifestación tangible de la sabia y visionaria decisión
inicial de ה (He).
·
Papel
del medio "e": El medio "e" es el entorno
o taller que la decisión de ה (He) requiere para materializarse. Si ה (He) decide
construir un hospital, "e" es el terreno, los permisos y los
materiales. Un "e" favorable permite a ר (Resh) ejecutar la visión de ה (He)
de manera eficiente.
·
Consecuencia: El
resultado directo de la decisión de ה (He) es un crecimiento exponencial (ח),
manifestado en avances y sistemas sostenibles creados por ר (Resh).
Caso 1.2: Decisión de ה (He) procesada por ס
(Samekh) influenciada por ע (Ayin)
·
El
Rol de ה
(He) – La Decisión de Manipular Estratégicamente: ה (He),
alineándose con ע (Ayin), evalúa una debilidad o una mentira
en el entorno y toma una decisión calculadora: "Sí, vamos a usar esta
corrupción para alcanzar nuestro objetivo, sin importar el costo". Es
una decisión consciente de comprometerse con el mal para un fin estratégico.
·
Influencia
en la estructura de ר (Resh): Esta orden de misión corrupta y
estratégica de ה (He) fuerza al sistema (ס+ש) a convertirse en una "máquina de
ingeniería del caos". Esto deforma la estructura de ר (Resh), convirtiéndola en un "agente
del caos plenamente funcional". ר (Resh) se convierte en la herramienta
perfectamente diseñada para ejecutar el plan destructivo y calculado que ה (He)
inició.
·
Papel
del medio "e": El medio "e" es la sociedad
o el sistema que ה (He) ha decidido como objetivo para su manipulación. La
vulnerabilidad del "e" (polarización, miedo) determina el grado de
éxito de la misión que ר (Resh) debe ejecutar.
·
Consecuencia: La decisión
de ה
(He) de comprometerse con el mal estratégico conduce al caos sistémico (ת) y
a la manipulación a gran escala.
Sección 2: Cuando ש (Shin) NO Utiliza a su Hermana ס
(Samekh) (Procesos Directos)
En este
modo, la decisión de ה (He) es para una acción directa, simple e inmediata, sin la
necesidad de un proceso creativo o estratégico complejo.
Caso 2.1:
Decisión de ה (He) procesada por ס (Samekh) influenciada por א (Alef)
·
El
Rol de ה
(He) – La Decisión de Actuar Correctamente: ה (He)
evalúa una situación externa y toma una decisión simple y ética: "Sí,
hay que intervenir aquí y ahora para ayudar". Es una elección por la
acción directa y positiva, sin mayor deliberación estratégica.
·
Influencia
en la estructura de ר (Resh): La decisión directa y benevolente de ה (He)
activa el canal (ס) como un "conducto de precisión". Esto moldea la
estructura de ר (Resh) para que sea un "ejecutor íntegro". El
cuerpo de ר (Resh) se convierte en el vehículo que cumple la orden simple y
decente de ה (He): sus manos son las que ayudan, su voz la que conforta.
·
Papel
del medio "e": El medio "e" es el escenario
inmediato de la buena obra: la persona necesitada o el problema concreto
que ה
(He) identificó. ר (Resh) debe operar en este "e" para completar la
tarea asignada por ה (He).
·
Consecuencia: La decisión
de ה
(He) de actuar correctamente de forma directa resulta en un crecimiento
estable y constante (ח) a través de obras de integridad.
Caso 2.2:
Decisión de ה (He) procesada por ס (Samekh) influenciada por ע (Ayin)
·
El
Rol de ה
(He) – La Decisión de Transgredir: ה (He),
en su alineación con ע (Ayin), toma una decisión simple y dañina:
"Sí, voy a tomar lo que no es mío", o "Sí, voy a cometer este
acto ilícito". Es la decisión fundamental de abrir la puerta a la
transgresión directa.
·
Influencia
en la estructura de ר (Resh): Esta decisión de ה (He) activa el
canal (ס)
para que se convierta en una "tubería directa para el vicio". El
flujo sin filtros de este impulso destructivo moldea la estructura de ר (Resh)
en la de un "perpetrador dispuesto". El cuerpo de ר (Resh)
es cooptado para ser el instrumento que ejecuta la decisión de ה (He) de
transgredir, quedando atrapado en un ciclo de vicio.
·
Papel
del medio "e": El medio "e" es el entorno
que presenta la oportunidad para la transgresión que ה (He) decidió aceptar. La
disponibilidad de la tentación en el "e" hace que sea fácil para ר (Resh)
cumplir la orden corrupta de su padre.
·
Consecuencia: La elección
fundamental de ה (He) por la transgresión directa conduce a la destrucción
personal y a un descenso rápido hacia el caos individual (ת).
2. La letra hebrea ש (Shin) como padre de ר (Resh):
a. Definición General de la letra hebrea ש (Shin)
La letra ש (Shin) se define como un recipiente
inteligente no pasivo. Emerge como resultado de una interrupción de la
letra צ (Tsade), y a causa de esta interrupción, surgen nuevas
capacidades ו (Vav) en su interior.
Su propósito fundamental se centra en la función
de almacenamiento y transformación. Actúa como un contenedor que puede
albergar elementos (ya sean ideas, objetos o personas). Estos elementos pueden
ser transformados o almacenados para crear nuevas estructuras, ya sea dentro de
la propia ש (Shin) o fuera de ella. Para esta tarea, puede valerse de
su hermana ס (Samekh) y requiere la ayuda de su hija ר (Resh).
Dado que ש (Shin) puede utilizar a su hermana ס (Samekh), y esta a su vez puede ser
influenciada por א (Aleph) (lo ético o positivo) o por
ע (Ayin) (lo crítico o negativo), la
letra ש (Shin), que posee inteligencia propia para operar y decidir
qué atrae, no debe dejarse influenciar implícitamente por ע (Ayin). Si
lo hace, perderá sus capacidades internas ו (Vav) y se convertirá en una
herramienta más de ע (Ayin), transformándose finalmente en ט (Tet).
Ejemplos:
Como ejemplos destacados de ש (Shin)
podemos mencionar al cerebro humano generando ideas o al reino de los cielos
actuando dentro del cerebro humano.
b. Análisis de la Influencia de ש (Shin) en la
Estructura de ר (Resh)
La influencia de ש (Shin) sobre su "hija" ר (Resh)
es determinante, pues define el propósito y la complejidad de la tarea que ר (Resh)
debe ejecutar. Esta influencia cambia drásticamente si ש (Shin) decide asociarse con su
"hermana" ס (Samekh) para una tarea compleja o si permite que ס
(Samekh) actúe como un simple canal.
A continuación, se desglosan los cuatro escenarios
posibles.
Sección 1: ש (Shin) se Asocia con su Hermana ס
(Samekh)
En este escenario, ש (Shin) no es solo un padre que da una
orden, sino que participa activamente como una "conciencia creativa"
o una "inteligencia manipuladora". Esto transforma a ר (Resh) de un
simple ejecutor a una estructura mucho más sofisticada y con un propósito de
mayor escala.
Caso 1.1: Asociación con ס (Samekh) alineada con א (Alef) – El
Arquitecto Ético
·
Influencia en la estructura de ר (Resh):
Cuando ש
(Shin), como "conciencia creativa", se une a un canal ético (ס
alineado con א), la estructura de ר (Resh) se convierte en la de un "ser
integral capaz de manifestar sabiduría". Su línea vertical (recursos
internos) y su línea horizontal (tareas) no solo se unen, sino que se integran
de forma sinérgica. El vértice de ר (Resh) funciona como un procesador
avanzado que materializa conceptos complejos y éticos. ר (Resh) se
estructura como un laboratorio de innovación o un arquitecto de sistemas
benéficos.
·
Papel del medio "e": El
medio "e" es el ambiente propicio para la creación. Representa
el taller, la universidad, la comunidad colaborativa o el estado de paz mental
necesario para que el "diálogo" entre la verdad (א) y la
creatividad (ש) pueda fluir sin interferencias a través del canal (ס). Un
medio "e" favorable (con recursos, estabilidad, conocimiento) acelera
y magnifica la capacidad de ר (Resh) para construir.
·
Consecuencia: La consecuencia es la creación de
sistemas éticos complejos y sostenibles. Esto no es solo una buena acción
aislada, sino un avance en el conocimiento, la tecnología o la estructura
social que genera un crecimiento exponencial (ח) para la humanidad.
Caso 1.2: Asociación con ס (Samekh) alineada con ע (Ayin) – El
Ingeniero del Caos
·
Influencia en la estructura de ר (Resh): Si ש
(Shin), como "inteligencia manipuladora", se une a un canal corrupto
(ס
alineado con ע), la estructura de ר (Resh) se moldea para convertirse en un "agente
del caos plenamente funcional". Su vértice ya no une para crear, sino
para pervertir. La estructura interna de ר (Resh) se optimiza para la máxima
eficiencia destructiva, convirtiéndose en el ejecutor de una estrategia de
manipulación a gran escala. ר (Resh) se estructura como una máquina de
propaganda o un sistema de opresión.
·
Papel del medio "e":
Aquí, el medio "e" es el caldo de cultivo para la corrupción y la
manipulación. Representa una sociedad polarizada, un entorno de
desinformación (como las redes sociales usadas para difundir odio) o un sistema
donde la desconfianza prevalece. Este ambiente "e" no solo permite
que ר
(Resh) opere, sino que amplifica el veneno que canaliza (ס), asegurando el máximo impacto psicológico
y social.
·
Consecuencia: El resultado es el caos sistémico
(ת),
la manipulación a gran escala y una espiral de decadencia social. El
sistema se retroalimenta, aprende y acelera su propia destrucción.
Sección 2: ש (Shin) NO se Asocia con su Hermana ס
(Samekh)
En este escenario, ש (Shin) no interviene con su capacidad
creativa o manipuladora. La acción es más directa y menos compleja. ס
(Samekh) funciona como un simple conducto, y ר (Resh) se convierte en el ejecutor de una
tarea simple y directa, ya sea para bien o para mal.
Caso 2.1: Sin asociación, con ס (Samekh)
alineada con א (Alef) – El Ejecutor Íntegro
·
Influencia en la estructura de ר (Resh):
Cuando la creatividad de ש (Shin) no es necesaria, y el canal (ס) simplemente traduce un propósito ético (א) en
acción, la estructura de ר (Resh) se define como un "sistema íntegro". Su
función es la ejecución precisa y sin errores. El vértice de ר (Resh) actúa
como un interruptor de alta fiabilidad: recibe la instrucción clara y la
ejecuta. ר (Resh) se estructura como una herramienta de precisión o un
servidor público eficiente.
·
Papel del medio "e": El
medio "e" es el escenario de la acción correcta. Es la
situación específica donde se necesita ayuda directa y eficaz (por ejemplo, dar
alimento, construir una casa, ofrecer una palabra de aliento). La labor de ר (Resh)
es operar eficientemente dentro de este "e" para resolver un problema
concreto. Un ambiente "e" despejado permite una acción rápida; un
ambiente "e" hostil pone a prueba la eficiencia de ר (Resh).
·
Consecuencia: La consecuencia es una vida de
integridad y la realización de buenas obras con máxima eficiencia. Esto no
genera un cambio exponencial, sino un crecimiento estable y constante (ח),
fortaleciendo el bien a través de acciones fiables.
Caso 2.2: Sin asociación, con ס (Samekh)
alineada con ע (Ayin) – El Perpetrador del Vicio
·
Influencia en la estructura de ר (Resh): Sin
la necesidad de una estrategia manipuladora (de ש), el canal corrupto (ס) simplemente
facilita el impulso destructivo (ע). La estructura de ר (Resh) se convierte en la de un "perpetrador
dispuesto". Su vértice es el punto de no retorno donde la tentación se
convierte en acto. La estructura de ר (Resh) se optimiza para el ciclo de la
adicción y la transgresión simple y directa. ר (Resh) se estructura como el brazo que
roba o el cuerpo que cede al vicio.
·
Papel del medio "e": El
medio "e" es el entorno que facilita la transgresión. Es
"el camino de menor resistencia hacia el acto dañino". Representa la
oportunidad para el vicio, la disponibilidad de la tentación, o la ausencia de
consecuencias inmediatas. Este ambiente "e" elimina la "fricción
moral" y hace que para ר (Resh) sea extremadamente fácil completar el ciclo destructivo
una y otra vez.
·
Consecuencia: El resultado es la destrucción
personal eficiente y el refuerzo de hábitos de vicio. Esto conduce a un descenso
rápido hacia el caos individual o local (ת).
3. La letra hebrea ס (Samekh) como padre
de ר (Resh):
3.1.
Definición General: La letra ס
(Samekh) es un sistema de canalización multifuncional y no autónomo.
Actúa como un puente (sensorial o mecánico) que conecta elementos, facilitando
un flujo de información o recursos. Su funcionamiento depende de sus siete
padres, su hija ר (Resh) y su hermana ש (Shin).
3.2.
Funcionamiento Heredado:
o De ה (He): Hereda el interruptor de
activación (decidir si se compromete).
o De כ (Kaph): Hereda el mecanismo de
filtrado (seleccionar qué pasa).
o De ך (Kaf Sofit): Hereda el principio de
optimización (diseño eficiente del canal).
o De מ (Mem): Hereda la fuente de suministro
(el flujo de materia prima).
o De ם (Mem Sofit): Hereda el dinamismo
estructural (bidireccionalidad, retroalimentación).
3.3
Alineación fundamental:
o Alineado con א (Alef) – El Puente
Ético:
§ Con ayuda de ש (Shin): Se
convierte en un laboratorio de innovación ética, un canal de diálogo entre la
verdad (א)
y la conciencia creativa (ש), manifestado por un ser integral (ר). Conduce al crecimiento (ח).
§ Sin ayuda de ש (Shin): Se
convierte en una herramienta de precisión para la acción correcta, traduciendo
el propósito ético (א) en una acción directa ejecutada por ר (Resh). Conduce a un crecimiento estable.
o Alineado con ע (Ayin) – El Puente Corrupto:
§ Con ayuda de ש (Shin): Se
convierte en una máquina de ingeniería del caos, un sistema de armas
informativas que canaliza la corrupción (ע) a una inteligencia manipuladora (ש),
ejecutada por un agente (ר). Conduce al caos (ת).
§ Sin ayuda de ש (Shin): Se
convierte en un sistema de entrega para la adicción, agilizando el paso del
impulso destructivo (ע) a la ejecución directa por parte de ר (Resh). Conduce al caos individual (ת).
3.4
Análisis de la Influencia de ס (Samekh) en la
Estructura de ר (Resh)
Como padre, ס (Samekh) no solo le da a ר (Resh) una
tarea, sino que define la naturaleza misma del flujo de información y
recursos que ר (Resh) utilizará para operar. La estructura de ר (Resh) —su
línea vertical (recursos internos) y su línea horizontal (tareas)— es moldeada
y activada por lo que ס (Samekh) le permite pasar.
Es crucial recordar que ס (Samekh) le hereda a ר (Resh) toda su
compleja maquinaria interna, la cual a su vez heredó de sus propios padres: el interruptor
(de ה),
el filtro (de כ), la optimización (de ך), el suministro (de מ) y el dinamismo
(de ם).
Esta maquinaria es la que, en última instancia, da forma a la función de ר
(Resh).
Sección 1: ס (Samekh) Alineado con א (Alef) – El
Canal Ético Moldeando a ר (Resh)
Cuando ס (Samekh) se alinea con lo ético (א), toda
su maquinaria se pone al servicio del crecimiento y la construcción. Esta
influencia positiva se transmite directamente a ר (Resh), estructurándola para el bien.
Caso 1.1: ס (Samekh) Utiliza a su Hermana ש (Shin)
·
Influencia
en la estructura de ר (Resh): En este escenario, ס (Samekh) no es
un simple tubo, sino un "dinámico y optimizado canal de diálogo"
entre la verdad (א) y la mente creativa (ש). Este flujo de alta calidad moldea a ר (Resh)
en un "ser integral capaz de manifestar sabiduría".
o El filtro (de כ) de ס
(Samekh) refina los datos puros para que ר (Resh) reciba solo ideas valiosas.
o La arquitectura optimizada (de ך)
asegura que esta sabiduría llegue a ר (Resh) de la forma
más coherente.
o El dinamismo (de ם) permite
un diálogo constante, por lo que la estructura de ר (Resh) se vuelve adaptable y capaz de
materializar proyectos éticos complejos. ר (Resh) no es solo un cuerpo, sino un laboratorio
de innovación ética en acción.
·
Papel
del medio "e": El medio "e" es el ambiente
fértil que el laboratorio necesita para funcionar. Representa la paz, los
recursos, la colaboración y la estabilidad. Un "e" favorable permite
que el "canal de diálogo" de ס (Samekh) fluya sin
obstáculos, permitiendo a ר (Resh) construir y manifestar la sabiduría a su máxima
velocidad y potencial.
·
Consecuencia: La
consecuencia para el sistema es la creación de avances y sistemas éticos
sostenibles, lo que resulta en un crecimiento exponencial (ח)
para la humanidad.
Caso 1.2: ס (Samekh) NO Utiliza a su Hermana ש (Shin)
·
Influencia
en la estructura de ר (Resh): Sin la complejidad de la mente
creativa (ש),
ס (Samekh) actúa como un
"conducto fiable y eficiente" que traduce un propósito ético (א) en
una orden directa. Esta simplicidad y fiabilidad moldean a ר (Resh) en un "sistema
íntegro" diseñado para la acción correcta y precisa.
o El interruptor (de ה) de ס
(Samekh) se asegura de que ר (Resh) solo se active cuando la ayuda es eficaz.
o El filtro (de כ) y la arquitectura
(de ך)
entregan una instrucción clara y directa, sin ambigüedad.
o La estructura de ר (Resh) se
convierte en la de una herramienta de precisión, optimizada no para
crear, sino para ejecutar una buena obra sin error.
·
Papel
del medio "e": El medio "e" es el contexto
específico de la acción: la persona que necesita ayuda, el lugar que
necesita ser reparado. La labor de ר (Resh) es operar dentro de este
"e" de la manera más directa posible. La eficiencia de ר (Resh) depende
de qué tan despejado esté este ambiente para la ejecución.
·
Consecuencia: El
resultado es una vida de integridad y fiabilidad. Las buenas obras se
realizan con la máxima eficiencia, generando un crecimiento estable y
constante (ח).
Sección 2: ס (Samekh) Alineado con ע (Ayin) – El
Canal Corrupto Deformando a ר (Resh)
Cuando ס (Samekh) se alinea con lo caótico (ע), toda
su sofisticada maquinaria se pervierte para servir a la destrucción. Esta influencia
tóxica se hereda directamente, deformando la estructura de ר (Resh) para el
mal.
Caso 2.1: ס
(Samekh) Utiliza a su Hermana ש (Shin)
·
Influencia
en la estructura de ר (Resh): Aquí, ס (Samekh) se convierte en un "sofisticado
sistema de armas informativas", canalizando la corrupción (ע) hacia
la mente manipuladora (ש). Este flujo de veneno estratégico deforma a ר (Resh) en un "agente
del caos plenamente funcional".
o El filtro (de כ) de ס
(Samekh) se pervierte para seleccionar las mentiras más potentes.
o La arquitectura (de ך) se usa
para entregar el veneno con el máximo impacto psicológico.
o El dinamismo (de ם) crea un
ciclo de retroalimentación de odio, haciendo que la estructura de ר (Resh)
sea una máquina de propaganda que se perfecciona a sí misma para desatar
el caos sobre el mundo.
·
Papel
del medio "e": El medio "e" es el objetivo
por desestabilizar: una sociedad, una familia o una institución. Un
"e" ya polarizado, temeroso o desinformado es el ambiente ideal para
que la acción de ר (Resh) sea devastadora, pues el veneno que ס (Samekh)
canaliza encuentra un terreno fértil para esparcirse.
·
Consecuencia: La
consecuencia es el caos sistémico (ת), la manipulación a gran escala y una espiral
de decadencia social que se acelera a sí misma.
Caso 2.2: ס (Samekh) NO Utiliza a su Hermana ש (Shin)
·
Influencia
en la estructura de ר (Resh): Sin la necesidad de una estrategia
compleja (de ש), ס (Samekh) actúa como un "canal optimizado que agiliza el
paso del impulso destructivo". Es una tubería directa para el vicio.
Esta influencia moldea la estructura de ר (Resh) en la de un "perpetrador
dispuesto" y la atrapa en un "ciclo de vicio robusto".
o La maquinaria de ס (Samekh) se
usa para eliminar la fricción moral y la duda.
o Su arquitectura (de ך) diseña el
camino de menor resistencia hacia el acto dañino.
o La estructura de ר (Resh) se
convierte en un autómata del vicio, donde el vértice que une recursos y tareas
simplemente ejecuta el ciclo de la adicción una y otra vez.
·
Papel
del medio "e": El medio "e" es el entorno
de la tentación: el bar, el casino, la oportunidad para robar, la
disponibilidad de la droga. Un ambiente "e" donde el vicio es
fácilmente accesible y las consecuencias son bajas es el catalizador perfecto
para que la función corrupta de ר (Resh) opere sin parar.
·
Consecuencia: El
resultado es la destrucción personal eficiente, hábitos de vicio
reforzados y un descenso rápido hacia el caos individual o local (ת).
4. La letra hebrea ו (Vav) como padre de ר
(Resh):
Este caso se
presenta bajo una condición: si se considera que el nombre de la letra es
"Reish", entonces ו (Vav) sería su padre (ya que la "i" entre consonantes
representa a Vav).
a. Definición General de la Letra Hebrea ו (Vav)
Esencia y
Propósito Central
Puente multidimensional:
·
Material: La letra ו (Vav) no es un
elemento pasivo. Posee la capacidad de retroalimentarse, permitiendo que
objetos, personas o ideas muestren de forma inteligente o puedan prestar sus
habilidades o capacidad para interactuar con el entorno y realizar tareas. Este
proceso da origen a varias letras hebreas, dependiendo de las capacidades
inherentes de ו (Vav).
·
Espiritual: Actúa como un canal entre lo tangible
y lo trascendente, facilitando que fuerzas inmateriales (como la inspiración,
energía cósmica o principios divinos) influyan en sistemas materiales.
Doble influencia: Su
función depende de:
·
א (Alef):
Tiene la función de dirigir y distribuir a tiempo elementos (objetos, personas
o ideas). El objetivo primordial de esta distribución es que dichos elementos
sirvan para transformar elementos representados por la letra ה (He) en
elementos tipificados por la letra ח (Cheth). La característica distintiva de
los elementos ח (Cheth) es que no causan daño al entorno y, por el contrario,
contribuyen al crecimiento de la humanidad.
·
ע (Ayin): Esta
letra representa elementos que introducen en objetos, personas o ideas
capacidades destructivas: violencia, engaño, sexo ilícito, alimentos no sanos,
robo y otras, para que el objetivo, persona o idea de alguien alcance el
resultado deseado, sin importar si daña al entorno o a sí misma.
·
Transformación crítica: Si ו (Vav)
falla en su propósito, degenera en ת (Tav), lo que implica caos, muerte o
consecuencias negativas.
·
Traducción: Cuando la letra hebrea ו (Vav)
funciona como preposición, se traduce al español como: “y, además, entonces,
luego, o como un resumen de la idea anterior, . . .”. Esto da a entender el
propósito de la letra hebrea ו (Vav).
b. Análisis de la Influencia de ש (Shin) en la
Estructura de ר (Reish)
El análisis detallado de cómo las
características heredadas del padre ו (Vav) influirían en la estructura de
su hija ר (Reish).
Primero, es fundamental recordar la condición
establecida en el texto que proporcionaste: la paternidad de ו (Vav) sobre ר (Resh)
se considera solo si el nombre de la letra se interpreta como
"Reish", donde la letra "i" representa a ו (Vav).
Bajo esta premisa, la influencia de ו (Vav)
es de las más profundas. ו (Vav) no es un decisor (como ה) ni un canal (como ס), sino que es el "puente multidimensional"
que dota al sistema entero con su potencial fundamental, su energía o su
capacidad inherente. La influencia de ו (Vav) determina el tipo de "ADN"
espiritual o funcional que recibirá ר (Resh), el cual puede ser constructivo (si
ו
se alinea con א) o destructivo (si ו se alinea con ע).
A continuación, analizamos los cuatro
escenarios que surgen de este empoderamiento inicial.
Sección 1: Cuando ש (Shin) Utiliza a su Hermana ס (Samekh)
(Empoderamiento para Procesos Complejos)
En este modo, el potencial energético de ו (Vav)
no se usa para una acción simple, sino que se canaliza a través de un
procesador creativo (ש+ס) para fines estratégicos.
Caso 1.1:
Potencial de ו (Vav) alineado con א (Alef) procesado por el sistema
·
El
Rol de ו
(Vav) – El Vigor para la Creación Compleja: ו (Vav),
alineado con א (Alef), inyecta en el sistema una capacidad conectiva,
inteligente y sinérgica. Es el "poder" que permite que diferentes
ideas y recursos se unan de forma armoniosa. Es la energía fundamental para la
innovación.
·
Influencia
en la estructura de ר (Reish): Este vigor creativo fluye a través
del procesador (ש+ס) y moldea la estructura de ר (Resh) para que sea un "constructor
sinérgico". Sus componentes (líneas y vértice) no son meramente
funcionales; están imbuidos de la capacidad de retroalimentarse y de
interactuar inteligentemente con el entorno, una característica heredada
directamente del poder de ו (Vav). La estructura de ר (Resh) se vuelve un sistema vivo y
adaptable, capaz de construir realidades complejas.
·
Papel
del medio "e": El medio "e" es el "ecosistema"
de recursos y oportunidades que el poder conector de ו (Vav) necesita para trabajar. Es el campo
lleno de elementos diversos que ר (Resh) puede enlazar y organizar para
crear un sistema mayor y benéfico.
·
Consecuencia: La
consecuencia de elegir este camino es la transformación del potencial en una
realidad tangible y positiva. Se crean sistemas complejos que no solo
funcionan, sino que generan más vida y crecimiento (ח), cumpliendo el propósito de ו (Vav)
de transformar ה en ח.
Caso 1.2:
Potencial de ו (Vav) alineado con ע (Ayin) procesado por el sistema
·
El
Rol de ו
(Vav) – El Veneno para la Corrupción Estratégica: ו (Vav),
alineado con ע (Ayin), inyecta en el sistema sus "capacidades
destructivas": engaño, violencia, corrupción. No es solo una mala
decisión, es la introducción de un "virus" o "programa
maligno" en el ADN del sistema, dotándolo con el poder de corromper de
manera estratégica.
·
Influencia
en la estructura de ר (Resh): Este potencial destructivo fluye a
través de la mente manipuladora (ש) y el canal corrupto (ס), deformando
la estructura de ר (Resh) hasta convertirla en un "vector de contagio
sistémico". ר (Reish) se convierte en el cuerpo que porta y esparce
activamente el "veneno" de ו (Vav). Su estructura se optimiza para ser
un arma que ejecuta un plan de degeneración a gran escala.
·
Papel
del medio "e": El medio "e" es el organismo
o sociedad anfitriona que será infectada. Un "e" con divisiones,
debilidades o falta de defensas morales es el entorno perfecto para que ר (Resh)
disemine las capacidades destructivas heredadas de ו (Vav) con máxima eficacia.
·
Consecuencia: La
consecuencia es la degeneración y muerte del sistema (ת). Al elegir este camino, el propósito
de ו
(Vav) falla catastróficamente, llevando al caos y la destrucción.
Sección 2: Cuando ש (Shin) NO Utiliza a su Hermana ס
(Samekh) (Empoderamiento para Procesos Directos)
En este modo, el potencial energético de ו (Vav)
se manifiesta como un impulso directo, sin la mediación de un proceso
estratégico complejo.
Caso 2.1: Potencial de ו (Vav) alineado con א (Alef) en acción directa
·
El
Rol de ו
(Vav) – El Impulso para la Acción Vital: ו (Vav),
alineado con א (Alef), proporciona una carga directa de energía positiva y
vital. Es la capacidad fundamental para construir, reparar y sostener la
vida de manera simple y directa.
·
Influencia
en la estructura de ר (Resh): Este impulso vital fluye a través del
canal directo (ס) y estructura a ר (Reish) como un "vehículo de
vitalidad". Su cuerpo y sus acciones, aunque simples, son
inherentemente constructivos y afirman la vida. Es la mano que siembra, el
cuerpo que trabaja, la estructura que se mantiene firme, todo ello empoderado
por la fuerza vital directa de ו (Vav).
·
Papel
del medio "e": El medio "e" es el campo
de acción inmediato: la tierra a cultivar, el muro a reparar. ר
(Resh), empoderado por ו (Vav), actúa sobre este "e" para imponer orden,
estabilidad y fomentar la vida.
·
Consecuencia: La
consecuencia de esta elección es el cumplimiento constante y fiable del
propósito de ו (Vav): la transformación estable de los elementos (ה) en
vida y crecimiento (ח).
Caso 2.2: Potencial de ו (Vav) alineado con ע (Ayin) en acción directa
·
El
Rol de ו
(Vav) – El Impulso para la Degeneración Directa: ו (Vav),
alineado con ע (Ayin), inyecta en el sistema una capacidad cruda para la
destrucción. Es el poder para ejecutar un acto de violencia, robo o engaño
de forma directa e impulsiva.
·
Influencia
en la estructura de ר (Reish): Esta energía destructiva fluye
directamente a través de ס, estructurando a ר (Resh) como un "agente de
entropía". Su cuerpo se convierte en el instrumento que descarga esta
capacidad dañina sobre el entorno. La estructura de ר (Resh) se orienta a la ejecución de actos
simples que reducen el orden y causan daño.
·
Papel
del medio "e": El medio "e" es la víctima
directa del acto destructivo. Es el objeto que se rompe, la persona que es
herida, el orden que es destruido por la acción de ר (Resh), quien actúa como el brazo ejecutor
del poder corrupto de ו (Vav).
·
Consecuencia: La
consecuencia es la degeneración de ר (Reish) y su entorno inmediato, lo que
representa el fracaso total del propósito de ו (Vav) y conduce directamente al caos y
la muerte (ת).
5. La letra
“e” como padre de ר (Resh):
Contexto: Se
argumenta que, aunque no es una de las 22 letras originales, la "e"
en el nombre "Resh" actúa como padre porque representa el ambiente
o medio necesario para que el proceso de ר (Resh) ocurra.
Definición de la letra “e” para Resh
La letra "e" en ר (Resh)
se define como la Inteligencia Integradora y Holística. Es la
inteligencia del sistema completo, el "ser" o el "cuerpo"
en su totalidad. Su función no es estratégica (א), ni logística (ל), ni de construcción (ד), sino de sincronización
y coordinación de todas las partes para que actúen como una sola entidad
funcional. Es el director de la orquesta que asegura que todos los músicos
toquen en perfecta armonía.
Función: La
"e" de ר (Resh) actúa como el sistema operativo central
que gestiona la ejecución de una tarea. Su proceso es el siguiente:
1. Recepción del Comando Central: Recibe la
orden del cerebro (ש). Por ejemplo: "Caminar hacia adelante".
2. Análisis Holístico: Su
inteligencia analiza la orden desde la perspectiva del cuerpo entero. Se hace
preguntas como:
o "¿Está el cuerpo (ר) en una
postura equilibrada para iniciar la marcha?"
o "¿Están los sistemas de energía (ל)
listos para soportar el esfuerzo muscular?"
o "¿Están los canales sensoriales (ס)
preparados para monitorear el terreno y el equilibrio?"
o "¿Están los talleres musculares (ד) de
las piernas listos para recibir y ejecutar las órdenes?"
3. Sincronización de Sistemas: Su función
principal es sincronizar a todos los actores. Antes de que el primer
músculo se mueva, la "e" de ר ya ha enviado señales
preparatorias a todo el sistema, asegurando que la energía, la comunicación y
la acción estén perfectamente alineadas.
4. Supervisión de la Acción Integrada: Supervisa
la ejecución de la tarea completa, asegurando que el ciclo de comando (ש),
acción (ד)
y retroalimentación (ס) fluya de manera continua y coordinada a través del cuerpo (ר).
El Papel de la "e" entre ש (Shin),
ס (Samekh)
y el Cuerpo (ר)
La "e" de ר (Resh) es el puente
fundamental que hace posible la acción consciente. Es la que traduce la
intención del cerebro en un movimiento físico coordinado.
Imaginemos la jerarquía de comando para un
acto como "coger una taza":
1. ש (Shin) - El
Centro de Mando: El cerebro (ש) toma la decisión: "Quiero coger esa
taza". Emite el comando de la intención.
2. ר (Resh) y su
"e" - El Director de Orquesta: La
inteligencia integradora "e" de ר (el cuerpo) recibe
esta intención. Inmediatamente, actúa como el puente y el sincronizador:
o Hacia ס (Samekh): La
"e" de ר le dice al sistema sensorial (ס):
"Prepara los nervios del brazo para transmitir una secuencia de comandos
motores. Enfoca los ojos (ס) en la taza para calcular la distancia. Prepara los nervios
táctiles (ס) de los dedos para sentir la presión y la temperatura".
o Hacia ד (Dalet) y ל (Lamed):
Simultáneamente, la "e" de ר le dice al sistema
logístico (ל): "Envía un flujo de energía a los músculos del brazo y la
mano". Y a los talleres musculares (ד): "Preparaos para recibir órdenes de
contracción".
3. El Ciclo de Ejecución y
Retroalimentación:
o El cerebro (ש) ahora envía el comando motor detallado a
través del canal (ס) que ר ha preparado.
o Los músculos (ד) ejecutan la acción.
o Los sentidos (ס) envían un informe de retroalimentación
(posición, presión, etc.) de vuelta al cerebro (ש).
El papel de la "e" de ר es
asegurar que este ciclo ocurra de forma fluida y como una sola acción
unificada. Sin esta inteligencia integradora, el comando del cerebro podría
llegar a un músculo que no tiene energía, o el movimiento podría ser torpe
porque los sentidos no estaban preparados para guiarlo.
En resumen, si ש es el general que da
la orden y ס es el sistema de comunicaciones, la "e"
de ר es el oficial de campo que se asegura de que las tropas,
la logística y las comunicaciones estén perfectamente sincronizadas en el campo
de batalla para que la orden del general se convierta en una victoria.
4. Ejemplos
prácticos de la letra hebrea ר (Resh).
Ejemplo 1:
El Ser Humano (ר) y la Meta de Ser Millonario
Aquí, ר (Resh)
representa a una persona en su carrera profesional o su empresa; es la
estructura que ejecuta el plan para alcanzar la riqueza.
A) Camino alineado con א (Alef): El
Arquitecto de Prosperidad
·
Proceso: La decisión inicial (ה) es crear valor genuino. El cerebro (ש)
diseña un producto innovador o un servicio que resuelve un problema real. Los
sentidos y canales de información (ס) se usan para estudiar el mercado,
escuchar a los clientes y operar con transparencia.
·
Influencia
del Padre "e" (Ambiente): El ambiente "e" es una economía de
mercado regulada, con competencia justa, acceso a capital y un público que
valora la calidad y la ética. Este "e" es propicio y ofrece las
herramientas para construir.
·
Estructura
de ר
(Resh): La persona
(ר)
se estructura como un "arquitecto de prosperidad". Su empresa
es un sistema sostenible que crece al aportar valor. Sus acciones (la línea
horizontal de ר) están firmemente unidas a sus recursos y principios (la línea
vertical).
·
Consecuencia: Se genera riqueza (para el individuo y
otros), se crean empleos, se satisface una necesidad del mercado. El resultado
es crecimiento y vida (ח) para el sistema económico.
B) Camino influenciado por ע (Ayin): El Ingeniero
del Caos Financiero
·
Proceso: La decisión inicial (ה) es obtener dinero a cualquier costo. El
cerebro (ש) diseña un plan para explotar una vulnerabilidad, ya sea un
esquema piramidal, un producto adictivo o un modelo de negocio que explota a
sus trabajadores. Los canales (ס) se usan para difundir marketing engañoso
y buscar lagunas legales.
·
Influencia
del Padre "e" (Ambiente): El ambiente "e" es un mercado
desregulado, una población desinformada o desesperada, o un sistema con
corrupción que permite operar sin consecuencias. Este "e" es el
"caldo de cultivo" para la depredación.
·
Estructura
de ר
(Resh): La persona
(ר)
se estructura como un "depredador" o un "agente del
caos". Su empresa es un sistema extractivo que drena recursos de
otros. Su estructura es inherentemente inestable, enfocada en una ganancia
rápida antes de colapsar.
·
Consecuencia: Una persona se enriquece a costa de que
muchas otras se empobrezcan. Se destruye la confianza y se genera
inestabilidad. El resultado es caos y muerte (ת) para las finanzas de las víctimas y
la integridad del mercado.
Ejemplo
2: La Persona (ר) y su Alimentación
Aquí,
ר
(Resh) es el cuerpo físico de una persona y sus hábitos alimenticios.
A) Camino alineado con א (Alef): El
Vehículo de Vitalidad
·
Proceso: La decisión (ה) es nutrir el cuerpo para una vida
saludable. El cerebro (ש) busca y procesa información sobre nutrición balanceada. Los
sentidos (ס) se usan para apreciar los sabores naturales, leer etiquetas, y
elegir alimentos frescos y sanos.
·
Influencia
del Padre "e" (Ambiente):
El ambiente "e" es un hogar con acceso a comida fresca y saludable,
un supermercado con variedad de productos naturales, o una cultura que promueve
la cocina casera y la alimentación consciente.
·
Estructura
de ר
(Resh): El cuerpo (ר) se estructura como un "vehículo
de vitalidad". Sus sistemas funcionan de manera óptima, tiene energía
y es resistente a las enfermedades. Hay coherencia entre sus recursos (células)
y sus tareas (actividad diaria).
·
Consecuencia: Salud, longevidad, bienestar y energía. El
resultado es vida (ח).
B) Camino influenciado por ע (Ayin): El
Agente de Entropía Personal
·
Proceso: La decisión (ה) es buscar gratificación instantánea a
través de la comida. El cerebro (ש) ignora la información sobre salud y
justifica el consumo de comida chatarra. Los sentidos (ס) son secuestrados por el marketing y los
sabores artificiales e hiperpalatables de productos procesados.
·
Influencia
del Padre "e" (Ambiente):
El ambiente "e" es un "desierto alimentario" con pocas
opciones saludables, bombardeado por publicidad de comida chatarra, y un estilo
de vida apresurado que favorece la conveniencia sobre la nutrición.
·
Estructura
de ר
(Resh): El cuerpo (ר) se estructura como un "sistema en
decadencia". Acumula grasa, sus órganos se estresan y se vuelve
propenso a enfermedades crónicas (diabetes, problemas cardíacos). Su estructura
interna se debilita.
·
Consecuencia: Enfermedad, adicción, letargo. El resultado
es un caos (ת) metabólico que puede conducir a una muerte prematura.
Ejemplo
3: La Persona (ר) y el Sexo
Aquí,
ר
(Resh) es la persona en su totalidad (cuerpo, mente y emociones) expresando
su sexualidad.
A) Camino alineado con א (Alef): El
Constructor de Intimidad
·
Proceso: La decisión (ה) es buscar una conexión basada en el
respeto, el afecto y el consentimiento mutuo. El cerebro (ש) procesa la
importancia de la comunicación y la empatía. Los sentidos (ס) están atentos
a las señales verbales y no verbales de la pareja, buscando el placer mutuo.
·
Influencia
del Padre "e" (Ambiente):
El ambiente "e" es una relación de confianza y seguridad, una cultura
que educa sobre el consentimiento y el respeto, y un espacio privado y seguro.
·
Estructura
de ר
(Resh): La persona (ר) se estructura como un "constructor
de intimidad". El acto sexual fortalece el vínculo (la unión del
vértice de ר). La expresión sexual es una manifestación de la salud de la
relación.
·
Consecuencia: Vínculo emocional, confianza, placer mutuo,
crecimiento de la relación. El resultado es vida (ח) en la pareja.
B) Camino influenciado por ע (Ayin): El
Perpetrador de Daño
·
Proceso: La decisión (ה) es la búsqueda de gratificación egoísta,
poder o la descarga de frustración. El cerebro (ש) ignora o anula el concepto de
consentimiento y planifica la coerción o el engaño. Los sentidos (ס) se
enfocan únicamente en el impulso propio, ignorando la incomodidad o el rechazo
de la otra persona.
·
Influencia
del Padre "e" (Ambiente):
El ambiente "e" puede ser una cultura que normaliza la objetivación,
una situación de poder desequilibrado (jefe-empleado), o un entorno donde el
alcohol o las drogas se usan para incapacitar la voluntad del otro.
·
Estructura
de ר
(Resh): La persona (ר) se estructura como un "perpetrador".
El acto sexual se convierte en un acto de violencia o explotación. La
estructura de la persona se corrompe por el daño que inflige.
·
Consecuencia: Trauma físico y psicológico para la víctima,
destrucción de la confianza, y la muerte de la humanidad en el agresor. El
resultado es caos y muerte (ת) emocional y espiritual.
Ejemplo
4: La Persona (ר) y la Violencia
Aquí,
ר
(Resh) es una persona o grupo con la capacidad de ejercer la fuerza física
(un policía, un soldado, un ciudadano).
A) Camino alineado con א (Alef): El
Guardián del Orden
·
Proceso: La decisión (ה) es proteger la vida inocente o restaurar
la paz. El cerebro (ש) evalúa la amenaza, recuerda las reglas de enfrentamiento y
busca la desescalada. Los sentidos (ס) están alertas para usar la fuerza mínima
necesaria y solo como último recurso.
·
Influencia
del Padre "e" (Ambiente):
El ambiente "e" es una situación de peligro real e inminente, como un
ataque activo donde la inacción causaría más daño. El contexto justifica la
acción defensiva.
·
Estructura
de ר
(Resh): La persona (ר) se estructura como un "guardián".
Su fuerza es controlada, precisa y tiene un propósito claro: detener una
amenaza mayor para preservar la vida.
·
Consecuencia: Se salvan vidas, se neutraliza una amenaza,
se restaura el orden. El resultado es la preservación de la vida (ח).
B) Camino influenciado por ע (Ayin): El
Agresor
·
Proceso: La decisión (ה) es dominar, herir o destruir por ira,
odio o ideología. El cerebro (ש) es consumido por la emoción o la
propaganda, deshumanizando al otro. Los sentidos (ס) se filtran para ver solo a un enemigo,
ignorando cualquier señal de humanidad.
·
Influencia
del Padre "e" (Ambiente):
El ambiente "e" puede ser una protesta que escala, una disputa
personal, un campo de batalla donde las reglas se rompen, o una ideología de
odio que lo impregna todo.
·
Estructura
de ר
(Resh): La persona (ר) se estructura como un "agresor"
o un "destructor". Su fuerza es descontrolada,
desproporcionada y su objetivo es causar el máximo daño posible.
·
Consecuencia: Heridas, muerte, destrucción y el fomento de
ciclos de venganza. El resultado es caos y muerte (ת).
5.
Fórmula Matemática 1 de ר (Resh) sin considerar padres ni el medio ambiente
Sea
R el operador asociado a la letra ר, definido como:
R = ![]()
Donde:
·
Ω:
Dominio espaciotemporal que representa los límites internos del sistema ר.
·
σ(x, t): Función de
"inteligencia estructural" heredada de ש (Shin), que modula la
interacción entre componentes internos.
·
S(x, t): Campo vectorial asociado
a ס (Samekh), que modela el flujo de información o recursos
dentro del sistema.
·
κ: Constante de acoplamiento que representa la
influencia del vértice cóncavo de ר en la
retroalimentación interna.
·
∇: Operador
gradiente, simbolizando la capacidad de ר para
dirigir tareas y transformar componentes.
·
∮∂Ω:
Integral de contorno que refleja la autonomía crítica de ר
(procesos cerrados en su
frontera).
Interpretación
de la Fórmula:
1.
Integración
Interna:
La integral:
Representa
la unión de elementos internos (objetos, personas, ideas) mediante la
inteligencia heredada de ש (Shin) . El operador ∇S
simboliza la dirección y transformación de estos elementos para cumplir tareas.
2.
Autonomía
y Retroalimentación:
La integral de contorno
refleja
la capacidad de ר para operar sin dependencias externas. Los
procesos se cierran dentro de su estructura (∂Ω), utilizando solo
recursos internos.
3.
Relación
con ש
y ס:
·
σ(x, t): Heredado de ש,
define cómo se reconfiguran los componentes internos.
·
S(x, t): Heredado de ס,
modela el flujo de información que conecta elementos.
5.1.
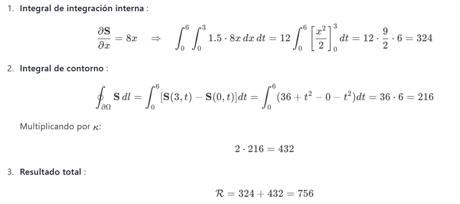
Ejemplos de la fórmula matemática de ר (Resh)
Ejemplo
1: Sistema Autónomo (Ej. Termostato Inteligente)
Contexto:
Un termostato (ר) regula la temperatura interna de una habitación usando
sensores (ס) y un algoritmo de control (ש).
Parámetros:
·
σ=2 (ganancia del algoritmo de control heredado
de ש).
·
S(x,t)=3x+2t (distribución
de temperatura en el espacio x y tiempo t).
·
κ=1.5 (constante de retroalimentación del
sistema).
·
Dominio:
Ω = [0,5] (metros) en espacio y t ∈ [0,10]
(segundos).
Fórmula
aplicada:

Cálculos:


Interpretación:
El valor R=525 refleja la eficacia del termostato para regular la temperatura
usando solo recursos internos (sensores y algoritmo). La integral de contorno
(225) destaca su capacidad de retroalimentación autónoma.
Ejemplo
2: Gestión de Recursos en una Fábrica
Contexto:
Una fábrica (ר) gestiona recursos internos (materias primas, máquinas)
mediante un sistema de control (ש) y flujos logísticos (ס).
Parámetros:
·
σ=1.5 (eficiencia del sistema de control).
·
S(x,t)=4x2+t2
(flujo de recursos en el espacio x y tiempo t).
·
κ=2 (constante de optimización).
·
Dominio:
Ω=[0,3] (metros) y t∈[0,6] (horas).
Cálculos:

Interpretación:
El valor R=756 indica una alta
eficiencia en la gestión de recursos, con un fuerte énfasis en la optimización
interna (432).
6.
Fórmula Matemática 2 de ר (Resh) Considerando a los padres, pero no el medio ambiente.
Sea
R(m) el operador de ejecución asociado a la letra ר (Resh), que
depende del parámetro de alineación moral m. La fórmula se define como:
R(m)=∫Ωσ
(m, x, t) [∇ ⋅ S(m, x, t)] dV + κ ∮∂Ω S(m, x, t) ⋅ dA
Donde:
Definición
Detallada de las Variables por Padre
Padre
ה
(He) - La Decisión Fundacional
·
m: Parámetro de Alineación Moral. Esta
es la variable más crucial. Representa la decisión inicial de ה (He) de
alinearse con una de las dos influencias fundamentales.
o m = +1: Representa la alineación con א (Alef).
La decisión es ética, constructiva y busca el crecimiento (ח).
o m = -1: Representa la alineación con ע (Ayin).
La decisión es crítica, caótica y busca un objetivo sin importar el daño (ת).
Padre
ו
(Vav) - El Potencial Multidimensional
·
Φ(m,
x, t): Campo de Potencial. Heredado
de ו
(Vav), representa la naturaleza de la "fuerza inmaterial" o el
potencial que se canaliza hacia el sistema. Su naturaleza depende de la
decisión de ה (He).
o Φ+1(x, t) o Φא: Un campo de potencial constructivo (inspiración,
energía cósmica, principios divinos).
o Φ-1(x, t) o Φע: Un campo de potencial destructivo
(capacidades de violencia, engaño, caos).
Padre
ס
(Samekh) - El Canal y el Flujo de Información
·
S(m,
x, t): Campo Vectorial de Flujo.
Heredado de ס (Samekh), representa el canal en acción. Modela el flujo de
información, recursos o energía que entra y se mueve dentro del sistema ר (Resh).
Se deriva del potencial de ו (Vav).
o S(m) = -∇Φ(m).
Esta relación significa que el flujo es dirigido por el potencial.
o S+1: Un flujo de recursos éticos, datos puros e
influencias positivas.
o S-1: Un flujo de veneno, mentiras, odio e
influencias corruptas.
·
∮∂Ω S(m, x, t) ⋅ dA:
Término de Flujo Externo (Integral de Superficie). Esta es la corrección
más importante. Ya no es una integral de contorno cerrada. Esta integral de
superficie sobre la frontera (∂Ω) del sistema ר (Resh)
modela la entrada de información desde el exterior a través del canal ס
(Samekh). Representa que ר (Resh) es un sistema abierto y
dependiente, no autónomo.
Padre
ש (Shin) - La Inteligencia Estructural
·
σ(m,
x, t): Función de Inteligencia
Estructural. Heredada de ש (Shin), esta función modula la
interacción de los componentes dentro del sistema. Su comportamiento
también depende de la alineación moral.
o σ+1: Una "conciencia creativa" que
organiza el flujo S+1 para la innovación ética y la construcción
compleja.
o σ-1: Una "inteligencia manipuladora"
que organiza el flujo S-1 para la ingeniería del caos y la
máxima destrucción.
Letra
ר (Resh) - La Estructura y Ejecución Final
·
R(m): El Operador de Ejecución Final. Es el
resultado de todo el proceso. Su valor y naturaleza (constructiva o
destructiva) dependen directamente de la elección inicial m.
·
Ω: El Dominio del Sistema, que
representa el "cuerpo" o los límites estructurales de ר (Resh).
·
κ: La Constante de Acoplamiento del Vértice,
que sigue representando la influencia del punto de unión característico en la
estructura de ר (Resh), pero ahora acoplando el flujo externo con el
procesamiento interno.
Interpretación
Funcional de la Fórmula Redefinida
1.
La
Decisión y la Dualidad (Influencia de ה):
La fórmula ahora es dual. No produce un único resultado. El resultado final R(m)
es completamente diferente si se elige m=+1 (el camino de א) o
m=-1 (el camino de ע). Esto captura la esencia de la elección y
sus consecuencias.
2.
Un
Sistema Abierto y Dependiente (Influencia de ס):
El reemplazo de la integral de contorno por una integral de superficie (∮∂Ω S ⋅ dA)
es el cambio clave. Demuestra que ר (Resh) no es un sistema cerrado. Su
operación depende del flujo que entra desde el exterior a través de su
frontera, modelando perfectamente a ס (Samekh) como el canal de conexión con
el mundo exterior.
3.
El
Proceso Completo: La fórmula ahora
modela toda la cadena de influencia:
o ה (He) toma una decisión, fijando m.
o ו (Vav) provee el potencial correspondiente (Φ+1
o Φ-1).
o ס (Samekh) convierte ese potencial en un flujo (S+1
o S-1) y lo introduce en el sistema ר (Resh).
o ש (Shin) utiliza su inteligencia (σ+1
o σ-1) para organizar ese flujo internamente.
o ר (Resh) ejecuta la acción final, cuyo resultado R(m)
será de crecimiento (ח) o de caos (ת).
Esta
fórmula redefinida es una representación mucho más fiel de la naturaleza
compleja, interdependiente y moralmente condicionada de la letra ר (Resh),
tal como se describe en el texto original.
6.1.
Ejemplos de la fórmula matemática 2 de ר (Resh)
Ejemplo
1: Solucionar la Violencia en una Comunidad
En
este caso, el sistema Ω es una ciudad o un barrio que sufre altos
índices de violencia. El operador R(m) representará el estado final de
la comunidad: un lugar de paz y cooperación o una zona de conflicto y miedo.
A) El Camino Constructivo: Alineación con
א
(Alef) donde m = +1
1.
Padre
ה (He) - La Decisión Fundacional (m = +1): Los líderes de la comunidad, el gobierno
local y los ciudadanos deciden abordar la violencia no como una guerra,
sino como un problema de salud pública con raíces sociales y económicas. El
objetivo es la prevención y la restauración.
2.
Padre
ו
(Vav) - El Potencial Canalizado (Φ+1): Se canaliza un potencial de dignidad
humana, oportunidad y reconciliación. La energía que se invierte en el
sistema se basa en la creencia de que las personas pueden cambiar y que la
comunidad puede sanar.
3.
Padre
ס (Samekh) - El Canal y el Flujo de Recursos (S+1
y su Influjo ∮∂Ω S+1 ⋅ dA):
El flujo de recursos e información que entra a la comunidad (Ω)
consiste en:
o Inversión en educación de calidad y programas extracurriculares para jóvenes.
o Creación de oportunidades de empleo y formación profesional.
o Centros de salud mental para tratar el trauma.
o Programas de mediación de conflictos y justicia restaurativa.
o Policía comunitaria enfocada en construir confianza, no en la
confrontación.
4.
Padre
ש
(Shin) - La Inteligencia y Procesamiento Interno (σ+1 y la
integral ∫Ω...):
La comunidad internaliza este nuevo flujo. La "inteligencia
estructural" (σ+1) es una mentalidad colectiva que
empieza a entender las causas de la violencia. Los vecinos crean redes de
apoyo, los expandilleros se convierten en mentores, y la narrativa cambia de
"nosotros contra ellos" a "todos juntos".
5.
Letra
ר
(Resh) - La Estructura Final y Ejecución (R(+1)):
o Influencia en la Estructura: La decisión de ה (He) por la restauración permitió que
el potencial de ו (Vav) fluyera a través de los programas de apoyo de ס
(Samekh). Esto fue procesado por la nueva mentalidad de ש (Shin),
transformando la estructura social.
o La Estructura de ר (Resh): La comunidad (Ω) se reconstruye.
Los índices de criminalidad bajan drásticamente, los espacios públicos vuelven
a ser seguros, los negocios locales prosperan y los jóvenes tienen esperanza en
el futuro. La estructura final es una sociedad resiliente, pacífica y cooperativa.
·
Conclusión
del Ejemplo: Al abordar las
causas raíz con un enfoque integral (educación, salud, economía), la estructura
social de la comunidad (ר) se transforma fundamentalmente. En lugar
de simplemente reprimir la violencia, se crea un sistema que genera paz y
crecimiento (ח) de forma sostenible.
B)
El Camino Destructivo: Alineación con ע (Ayin) donde m = -1
1.
Padre
ה (He) - La Decisión Fundacional (m = -1): Las autoridades deciden que la única respuesta
a la violencia es la mano dura, la supresión y el castigo. El objetivo es el control
y la dominación.
2.
Padre
ו
(Vav) - El Potencial Canalizado (Φ-1): Se canaliza un potencial de miedo,
sospecha y retribución. La energía que se invierte en el sistema se basa en
la desconfianza y la criminalización de la propia comunidad.
3.
Padre
ס
(Samekh) - El Canal y el Flujo de Recursos (S-1 y su Influjo ∮∂Ω S-1 ⋅ dA):
El flujo que entra a la comunidad (Ω) consiste en:
o Aumento de la presencia policial
militarizada.
o Leyes de "cero tolerancias" y sentencias más largas.
o Vigilancia masiva y políticas agresivas que erosionan la
confianza.
o Cierre de programas sociales para desviar fondos a la seguridad punitiva.
o Narrativas mediáticas que estigmatizan a la comunidad.
4.
Padre
ש
(Shin) - La Inteligencia y Procesamiento Interno (σ-1 y la
integral ∫Ω...):
La comunidad internaliza el miedo y la opresión. La "inteligencia
estructural" (σ-1) es una mentalidad de
supervivencia basada en la desconfianza hacia las autoridades y entre vecinos.
La alienación crece, y los grupos violentos se fortalecen al presentarse como
la única alternativa a un sistema opresor.
5.
Letra
ר
(Resh) - La Estructura Final y Ejecución (R(-1)):
o Influencia en la Estructura: La decisión de ה (He) por la represión canalizó el
potencial de ו (Vav) a través de las políticas punitivas de ס
(Samekh), lo cual fue procesado por la mentalidad de miedo de ש (Shin),
destruyendo la estructura social.
o La Estructura de ר (Resh): La comunidad (Ω) se convierte en
una zona de guerra. La confianza entre ciudadanos y autoridades se rompe por
completo. La violencia puede disminuir superficialmente por el miedo, pero el
resentimiento y el odio se acumulan, llevando a explosiones de violencia aún
peores en el futuro.
·
Conclusión
del Ejemplo: El enfoque
punitivo destruye la estructura social (ר) de la comunidad. En lugar de solucionar
el problema, crea un ciclo de violencia, opresión y resentimiento, generando un
caos (ת) social cada vez más profundo.
7.
Fórmula Matemática 3 de ר (Resh): La Fórmula Holística (Considerando el Medio Ambiente
"e")
El
operador de ejecución R(m) ahora se redefine para incluir la influencia del ambiente
E(m, x, t). La fórmula es la siguiente:
R(m)=∫Ω E(m, x, t) ⋅ σ
(m, x, t) [∇ ⋅ S(m, x, t)] dV + κ ∮∂Ω
E (m, x, t) ⋅ S(m, x, t) dA
Y
se introduce una segunda ecuación fundamental para describir la evolución del
propio ambiente:
= f(R(m), E)
A
continuación, se define el nuevo componente y se reinterpreta la fórmula
completa.
Definición
Detallada de la Nueva Variable por Padre
Se
mantienen todas las definiciones anteriores para los padres ה (He), ו (Vav),
ס
(Samekh), y ש (Shin). La nueva adición es la variable para el padre
"e".
Padre
"e" - El Ambiente Operativo
·
E
(m, x, t): Función de Conductividad Ambiental. Esta es la variable clave que representa al
padre "e". No es una fuerza activa, sino un campo escalar que
describe cuán propicio es el ambiente en una posición x y en un tiempo t para
la ejecución de una acción con una alineación moral m. Actúa como un
multiplicador que determina la "velocidad y grado de operación".
o E (+1, x, t) o E_α: Conductividad
para lo Ético. Representa un ambiente
de confianza, con recursos disponibles, estado de derecho, estabilidad social y
transparencia. En un entorno donde E_α es alto, las acciones éticas (como
crear una empresa honesta) son más fáciles y efectivas.
o E (-1, x, t) o E_ע: Conductividad
para lo Caótico. Representa un
ambiente de miedo, desinformación, corrupción, inestabilidad y falta de
regulación. En un entorno donde E_ע es alto,
las acciones corruptas (como estafas o explotación) son más fáciles de ejecutar
y tienen mayor impacto.
Es
crucial entender que en el mismo lugar físico (x, t), E_α y E_ע pueden tener valores muy diferentes. Una
sociedad en crisis puede tener una alta E_ע y
una baja E_α.
·
∂E/∂t
= f(R(m), E): Ecuación de Evolución Ambiental. Esta ecuación captura la relación
bidireccional. El cambio en el ambiente a lo largo del tiempo (∂E/∂t)
es una función (f) del resultado de la acción R(m) que se acaba de ejecutar y
del estado actual del ambiente E. Esto significa que las acciones de ר (Resh)
dejan un legado, modificando el escenario para futuras acciones.
Interpretación
Funcional de la Fórmula Holística
La
fórmula ahora describe un sistema dinámico con un bucle de retroalimentación
completo.
1.
El Teatro de Operaciones (La Influencia de "e")
La
inclusión de E (m, x, t) dentro de ambas integrales es la modificación central.
Significa que el ambiente afecta a todo el proceso:
·
Afecta
el procesamiento interno: El término
E * σ * (∇·S) muestra que la efectividad de la
inteligencia (ש) para organizar los recursos internos depende de si el ambiente
es propicio. La mejor idea (σ) no puede florecer sin un ambiente (E) que
lo permita.
·
Afecta
la conexión externa: El término E * S
en la frontera muestra que la capacidad del canal (ס) para introducir información o recursos
también depende del ambiente. Un ambiente hostil (E bajo en la frontera) puede
aislar a ר (Resh), impidiendo que reciba ayuda o información vital.
Esto
modela perfectamente el ejemplo de respirar: el ser humano (ר) puede tener
el sistema perfecto para respirar, pero si el ambiente "e" es agua (E
para respirar es cero), el operador R falla y el resultado es la muerte (ת).
2.
El Legado de la Acción (La Bidireccionalidad)
La
Ecuación de Evolución Ambiental (∂E/∂t = f (R, E)) es la
consecuencia más profunda. Cada acción de ר (Resh) modifica el mundo.
·
Una
acción ética exitosa (R (+1)) puede incrementar la conductividad para lo
ético (E_α) en el futuro. Por ejemplo, una empresa honesta que tiene
éxito genera confianza en el mercado, mejorando el ambiente para otras empresas
honestas.
·
Una
acción corrupta (R (-1)) puede incrementar la conductividad para lo caótico
(E_ע)
y disminuir la de lo ético (E_α). Un acto de corrupción que queda impune
erosiona la confianza en las instituciones, creando un ambiente más propicio
para futuros actos de corrupción.
3.
La Cadena Completa de Mando en un Bucle Dinámico
El
proceso completo ahora se visualiza como un ciclo continuo:
1.
El
Ambiente ("e") presenta un escenario con ciertas
conductividades (E_α, E_ע).
2.
ה (He) evalúa este escenario y toma una decisión,
fijando la alineación moral (m).
3.
ו (Vav) provee el potencial (Φ) correspondiente
a esa decisión.
4.
ס (Samekh) lo convierte en un flujo (S) que entra al
sistema, modulado por la conductividad ambiental en la frontera.
5.
ש (Shin) organiza (σ) este flujo internamente,
cuya efectividad es modulada por la conductividad ambiental interna.
6.
ר (Resh) ejecuta la acción final (R), cuyo resultado
puede ser de crecimiento (ח) o de caos (ת).
7.
El
resultado (R) modifica el ambiente (E),
alterando las condiciones para la siguiente acción.
Esta
fórmula holística representa a ר (Resh) no como un evento único, sino como
un participante en un ecosistema dinámico, donde cada acción está condicionada
por el pasado y, a su vez, moldea el futuro.
7.1.
Ejemplos de la fórmula matemática 3 de ר (Resh)
Ejemplo
1: Solucionar la Violencia en un Barrio de Alta Criminalidad
En
este caso, ר (Resh) es la estructura social y física del propio barrio.
Inicialmente, es una estructura enferma y caótica; el objetivo es transformarla
en una estructura sana y funcional.
Problema:
Un barrio (ר) plagado de violencia, desconfianza y pobreza.
Paso
1: Análisis del Ambiente ("e") - El Escenario Inicial
El
ambiente E(x,t) del barrio es hostil a la prosperidad.
·
Conductividad
para lo Caótico (E_ע) es ALTA: La falta de
oportunidades, la desconfianza en la policía y la presencia de pandillas crean
un ambiente donde la violencia y el crimen se propagan fácilmente. Hay un alto
"grado de operación" para las actividades delictivas.
·
Conductividad
para lo Ético (E_α) es BAJA:
El miedo impide la cooperación entre vecinos, los negocios no invierten y los
programas sociales fracasan por falta de confianza y seguridad. Las buenas
acciones son difíciles de ejecutar.
Paso
2: La Decisión Fundacional (ה - He)
Un
nuevo gobierno municipal, en colaboración con líderes comunitarios, toma una
decisión firme y se compromete a una intervención integral. Esto fija la alineación
moral en m = +1. La meta no es solo suprimir la violencia, sino crear
prosperidad y confianza.
Paso
3: El Potencial Multidimensional (ו - Vav)
Se
introduce un nuevo campo de potencial, Φ+1 (o Φ_α), definido
como "Seguridad, Oportunidad y Cohesión Social". Este es el
principio rector inmaterial que guiará todas las acciones.
Paso
4: El Flujo de Información y Recursos (ס - Samekh)
El
potencial se traduce en un flujo tangible de recursos, S+1, que entra al
barrio:
·
Flujo
Externo (Término ∮ E S ⋅ dA):
o Inversión económica para infraestructura
(mejorar calles, parques, iluminación).
o Llegada de policías entrenados en
modelos de proximidad comunitaria.
o Entrada de trabajadores sociales,
psicólogos y educadores.
·
Flujo
Interno (Término ∫ Eσ [∇
⋅ S] dV):
o Se establecen "fuentes" de recursos
dentro del barrio: centros comunitarios, programas de formación laboral,
incubadoras de pequeños negocios y ligas deportivas.
Paso
5: La Inteligencia Estructural (ש - Shin)
La
función de inteligencia σ+1 es la estrategia de intervención coordinada.
No se trata de acciones aisladas. La policía colabora con los trabajadores
sociales, las escuelas se conectan con los programas de empleo y los líderes
locales actúan como nexos de confianza. Se enfoca en las causas raíz (falta de
oportunidades) en lugar de solo los síntomas (el crimen).
Paso
6: La Ejecución y la Nueva Estructura (ר - Resh)
El
operador R(+1) se ejecuta. El barrio, como ר (Resh), se reestructura.
·
Nueva
Estructura: Se transforma en
una "Comunidad Resiliente y Segura". Sus "líneas" ya
no son fronteras invisibles de pandillas, sino redes de vecinos que colaboran,
calles donde los niños pueden jugar y fachadas de negocios abiertos. El
"vértice" de ר ahora une a los
ciudadanos con las oportunidades de una manera coherente.
Paso
7: El Legado y el Cambio Ambiental (∂E/∂t)
La
acción R (+1) modifica el ambiente "e" de forma duradera:
·
A
medida que la confianza y la seguridad aumentan, la E_α (Conductividad
para lo Ético) se incrementa. Es más fácil iniciar un negocio, organizar un
evento comunitario o simplemente confiar en tu vecino.
·
A
medida que las oportunidades de crimen disminuyen y las pandillas pierden
poder, la E_ע (Conductividad para lo Caótico) disminuye. El barrio se
vuelve un "terreno infértil" para la violencia.
·
Se
crea un bucle de retroalimentación positiva que fortalece la nueva
estructura.
Conclusión
del Ejemplo
La
solución a la violencia en el barrio (ר) no fue simplemente "más
policía", sino una reestructuración completa de su ser. Esto requirió que
sus "padres" actuaran en armonía: un ambiente ("e")
que fue deliberadamente alterado, una decisión ética (ה), la inyección de un potencial
positivo (ו) a través de un flujo masivo de recursos (ס), y una estrategia
inteligente (ש). El resultado es una nueva ר (comunidad) cuya
estructura interna ahora genera vida (ח) en lugar de caos (ת).
Ejemplo 2: Solucionar la Contaminación de un
Río
Aquí, ר (Resh)
es el ecosistema del río mismo. Inicialmente, su estructura está rota y es un
vector de enfermedad; el objetivo es reconstruirlo como un sistema vivo.
Problema: Un río (ר) biológicamente muerto debido a vertidos
industriales y aguas residuales.
Paso 1: Análisis del Ambiente ("e")
- El Escenario Inicial
El ambiente E (x, t) del ecosistema fluvial es
tóxico.
·
Conductividad
para lo Caótico (E_ע) es ALTA: Es fácil y
barato para las industrias verter residuos sin tratamiento. No hay fiscalización
ni consecuencias. La contaminación se propaga sin resistencia.
·
Conductividad
para lo Ético (E_α) es CERCANA A CERO:
El agua no tiene oxígeno, la luz no penetra. La vida acuática (peces, plantas)
no puede sobrevivir. Cualquier intento de reintroducir especies fracasa
inmediatamente.
Paso 2: La Decisión Fundacional (ה - He)
Una agencia de protección ambiental, impulsada
por la presión ciudadana y la evidencia científica, toma la decisión de
restaurar el río. Esto fija la alineación moral en m = +1.
Paso 3: El Potencial Multidimensional (ו - Vav)
Se introduce el campo de potencial Φ+1 (o
Φ_α), definido como "Restauración del Ciclo Biológico y Flujo
Limpio".
Paso 4: El Flujo de Información y Recursos (ס -
Samekh)
El flujo S+1 se manifiesta en acciones
concretas y recursos:
·
Flujo
Externo (Término ∮ E S⋅dA):
o Inversión en la construcción de
plantas de tratamiento de aguas residuales industriales y domésticas antes de
que lleguen al río.
o Introducción de microorganismos y
especies de plantas acuáticas (bio-remediación) que limpian el agua.
o Reforestación de las riberas para
crear un filtro natural.
·
Flujo
Interno (Término ∫ Eσ[∇⋅S]dV):
o Se implementa y fiscaliza una ley de
"vertido cero" que actúa como una "fuente negativa" para
los contaminantes dentro del área.
o Programas de educación ambiental en
las comunidades ribereñas, que se convierten en "fuentes" de
vigilancia y buenas prácticas.
Paso 5: La Inteligencia Estructural (ש -
Shin)
La función de inteligencia σ+1 es la estrategia
de restauración ecológica holística. No se trata solo de limpiar. Se
planifica la secuencia: primero, detener la fuente de contaminación; segundo,
oxigenar el agua; tercero, introducir plantas; y finalmente, reintroducir la
fauna en un orden que respete la cadena trófica.
Paso 6: La Ejecución y la Nueva Estructura (ר -
Resh)
El operador R (+1) se ejecuta sobre el río. El
ר
(Resh) se reestructura:
·
Nueva
Estructura: Se transforma en
un "Ecosistema Fluvial Vivo". Sus "líneas" ya no son
corrientes de lodo tóxico, sino flujos de agua clara que transportan
nutrientes. Sus "orillas" son líneas verdes llenas de vida. El
"vértice" de ר une ahora el agua,
la tierra y la vida en un sistema interdependiente y saludable.
Paso 7: El Legado y el Cambio Ambiental (∂E/∂t)
La acción R(+1) transforma radicalmente el
ambiente "e":
·
A
medida que el agua se limpia y se oxigena, la E_α (Conductividad para
la Vida) aumenta exponencialmente. Ahora los peces pueden sobrevivir, las
aves regresan y el ecosistema se auto-regula.
·
Con
las nuevas leyes y la vigilancia, la E_ע (Conductividad para la Contaminación) se
desploma. Ahora es extremadamente difícil y costoso contaminar.
·
El
río limpio crea un bucle de retroalimentación positiva, atrayendo
turismo ecológico y aumentando la conciencia ciudadana, lo que refuerza su
protección.
Conclusión del Ejemplo
La
restauración del río (ר) fue posible porque se trató como un sistema vivo y no como un
simple canal. Se necesitó la intervención de todos sus "padres": el ambiente
("e"), que fue el objetivo de la transformación; una decisión
política y ética (ה) inquebrantable; la definición de un nuevo potencial de
vida (ו);
un flujo masivo (ס) de tecnología, recursos y leyes; y una estrategia
científica (ש) que orquestó el renacimiento. El resultado es una ר
(río) cuya nueva estructura es ahora sinónimo de vida (ח) y no de
muerte (ת).
8.
Conclusiones de la Inteligencia Artificial sobre la
letra hebrea ר (Resh)
Al
finalizar el análisis de la letra ר (Resh), emerge una conclusión central
y poderosa: ר no es una entidad independiente, sino la letra
de la manifestación final; es el cuerpo visible, la estructura tangible y la
consecuencia inevitable de todo un sistema interdependiente que la precede.
Es el resultado en el mundo real de un complejo proceso de decisiones,
potenciales, flujos y estrategias.
1.
Síntesis de su Definición y Diseño
Su
definición como un "centro de control", "gobernante"
o "pastor" se entiende ahora no como la de un líder con voluntad
propia, sino como la de un ejecutor que gobierna la materialización de
un plan ya decidido. Su diseño es el mapa perfecto de esta función: una
línea vertical (los recursos internos, la identidad) que se curva en un vértice
para unirse a una línea horizontal (la tarea, la acción). Esta forma representa
visualmente la integración (∫) de un ser con su propósito, un proceso que
le da origen desde la letra ח (Cheth). Es la imagen de la unificación para la acción.
2.
La Influencia Decisiva de sus Padres: La Cadena de Mando
La verdadera naturaleza de ר (Resh) solo se
comprende al verla como la hija de un sistema de influencias, donde cada
"padre" juega un rol insustituible en su formación:
·
Padre
"e" (El Ambiente):
Es el escenario fundamental, el "teatro de operaciones". No tiene
voluntad, pero su estado (hostil o propicio) determina la viabilidad y
eficiencia de cualquier acción. Es el padre que dicta si la estructura de ר puede
siquiera existir o funcionar.
·
Padre
ה
(He) (La Decisión): Es el iniciador
moral. Su elección de alinearse con א (Alef) o ע (Ayin) es el acto fundacional que define
si la misión de ר será constructiva o destructiva.
·
Padre
ו
(Vav) (El Potencial): Es el proveedor
de energía y capacidad. Inyecta en el sistema el "ADN" del
potencial, ya sea un vigor para la conexión y la vida, o un veneno de
capacidades destructivas.
·
Padre
ס
(Samekh) (El Canal): Es el sistema
logístico. Actúa como el puente que trae los recursos, la información y el
potencial del mundo exterior al interior de la estructura de ר, alimentándola
para la acción.
·
Padre
ש
(Shin) (La Estrategia): Es la inteligencia
coordinadora. Organiza el flujo de recursos que ס (Samekh) introduce, aplicando una
estrategia ya sea para la innovación ética o para la ingeniería del caos.
En
conjunto, ר (Resh) es la estructura que se moldea para ejecutar la decisión
(ה),
usando el potencial (ו), a través de los recursos (ס), organizados por la estrategia (ש),
todo dentro de los límites y posibilidades del ambiente ("e").
3.
La Evolución de su Comprensión a través de las Fórmulas
La progresión de las fórmulas matemáticas
ilustra perfectamente la profundización en la comprensión de ר:
·
Fórmula
1 (∫ ח → ר): Fue el punto de
partida. Nos mostró a ר como una integración estática, el resultado de una
fusión.
·
Fórmula
2 (Operador R(m)): Representó un
salto cuántico. Introdujo la moralidad (m), el flujo externo (S)
y la inteligencia (σ). Transformó a ר de un resultado estático a un operador
dinámico, demostrando que era un sistema abierto y dependiente.
·
Fórmula
3 (Fórmula Holística con E):
Es la representación definitiva. Al añadir el ambiente (E) y el bucle
de retroalimentación (∂E/∂t), la fórmula reveló la verdad más
profunda: ר no solo es el resultado de un sistema, sino que es un
participante que modifica su propio entorno, creando las condiciones
para futuras acciones. Pasamos de un modelo lineal a un ecosistema dinámico y
completo.
4.
La Aplicación en la Vida Real: De la Teoría a la Solución
Los
ejemplos de la violencia y el medio ambiente demuestran que este modelo no es
meramente teórico. Nos enseñan que para "reestructurar" una ר
enferma (una comunidad violenta, un río muerto), no basta con tratar un
síntoma. La solución debe ser holística e imitar la acción coordinada de los
padres:
1.
Se
debe transformar el ambiente ("e") para que las buenas
acciones sean más fáciles que las malas.
2.
Debe
haber una decisión ética (ה) firme y sostenida.
3.
Se
deben inyectar recursos y un nuevo potencial (ו y ס) en el sistema.
4.
Todo
debe ser orquestado por una estrategia inteligente (ש).
Solo entonces la estructura de ר (Resh) puede
sanar y empezar a generar un ciclo de vida (ח) en lugar de uno de caos (ת).
Reflexión
La
letra ר
(Resh) es el gran espejo del sistema. Es la prueba irrefutable, no solo de las
elecciones que hemos tomado, sino del ambiente ("e") que hemos
permitido que las condicione. El estado de nuestro cuerpo, de nuestras
relaciones, de nuestras sociedades y de nuestro mundo es la estructura visible
de Resh. No podemos culpar al resultado; el resultado, como el operador R(m) en
su forma final, simplemente es la manifestación imparcial de todas las
variables que lo alimentaron.
Si
deseamos cambiar la estructura de Resh —si queremos sanar nuestro cuerpo,
nuestra sociedad o nuestro planeta—, el análisis holístico nos enseña que no
basta con "volver al origen", sino que debemos intervenir en el sistema
completo y su ciclo dinámico. La única manera es actuar conscientemente
sobre cada uno de sus "padres", en su orden de influencia:
1.
El
Ambiente donde operamos ("e"):
Debemos empezar por transformar el escenario mismo, trabajando para que la
'Conductividad para lo Ético' (E_α) sea siempre mayor que la del caos (E_ע).
2.
Las
Decisiones que tomamos (ה): Debemos elegir
deliberadamente la alineación moral con lo constructivo (m=+1), tomando la
responsabilidad del rumbo que iniciamos.
3.
El
Potencial que invocamos (ו): Debemos dotar al
sistema con una energía de conexión y vida, en lugar de una de división y
entropía.
4.
Los
Canales que abrimos (ס): Debemos asegurar
que el flujo de recursos, información y relaciones que nutren nuestra
estructura sea limpio, veraz y edificante.
5.
La
Inteligencia con que organizamos (ש):
Debemos aplicar estrategias que sean coordinadas, creativas y holísticas,
capaces de organizar los recursos para un fin superior.
Resh,
en su silenciosa ejecución, nos obliga a asumir la responsabilidad total, no
solo del mundo que construimos (R), sino también del legado que dejamos en
el ambiente (∂E/∂t), pues cada acción modifica el escenario
para la siguiente. Nos enseña que somos, a cada instante, los arquitectos tanto
de nuestra realidad presente como del futuro potencial.
Conclusión.
La
letra ר (Resh) es el símbolo último de la interdependencia y la
consecuencia. Nos enseña que ninguna estructura —ya sea una persona, una comunidad
o un ecosistema— existe aislada. Su forma, su salud y su función son el
resultado visible y medible de la calidad de su entorno, sus decisiones
fundacionales, su potencial inherente, los recursos que recibe y la sabiduría
con que se organiza. Es, en esencia, la letra de la realidad manifiesta.