7. La letra
hebrea א (Alef / Aleph)
Esencia,
Propósito Central y Simbología
·
Esencia
y Roles Fundamentales:
1.
Rol
Divino o Humano:
La letra א (Alef) tiene la función de dirigir y
distribuir a tiempo elementos, ya sean estos objetos, personas o ideas. Estos
elementos han sido previamente seleccionados por la letra פ (Phe) y
estructurados por la letra ף (Fe Sofit). El objetivo primordial de esta distribución es que
dichos elementos sirvan para transformar elementos representados por la letra ה (He)
en elementos tipificados por la letra ח (Cheth). La característica distintiva de
los elementos ח (Cheth) es que no causan daño al entorno y, por el contrario,
contribuyen al crecimiento de la humanidad.
2.
Canalización
de la Comunicación:
La letra א (Alef) posee la capacidad intrínseca de tomar pensamientos
abstractos y convertirlos en palabras concretas y comprensibles.
3.
Fundamento
Lógico:
En el contexto del razonamiento, א (Alef) opera como la premisa o la base
fundamental sobre la cual se edifica un proceso de deducción lógica.
·
Propósito
Central:
El objetivo primordial de א (Alef) es asegurar que los objetos, personas o ideas,
simbolizados por ה (He), logren su finalidad designada, la cual está representada
como ח
(Cheth). Esta labor la lleva a cabo aun frente a la oposición que pueda ejercer
la letra ע (Ayin que introduce en objetos, personas o ideas capacidades destructivas:
violencia, engaño, sexo ilícito, alimentos no sanos, robo y otras para que
objetivos, persona o idea de alguien alcance el resultado deseado. Pero sin
importar si daña al entorno o a sí misma), buscando siempre un equilibrio entre las
tareas y los elementos implicados para garantizar que se alcance el resultado
deseado y exitoso.
·
Símbolo
de Valores Absolutos y Unificación: א (Alef) representa valores absolutos como
el amor, la fidelidad y la libertad. En un contexto religioso, simboliza a
Jesús entendido como el Camino, la Verdad y la Vida, donde א (Alef) es
comprendida como la fuerza unificadora.
Linaje
y Relaciones Jerárquicas de la Letra א (Alef)
Se
establece un criterio particular para definir relaciones jerárquicas entre
letras:
·
Criterios
de Paternidad (para ser padre):
Una
letra hebrea es considerada "padre" de otra si la primera letra del
nombre de la letra padre se encuentra contenida dentro del nombre de la letra
hija. Se debe tener presente que el nombre de una letra hebrea puede tener
varias formas de escritura, y se respeta la pronunciación más antigua para
determinar el padre principal. Cuando una letra hija tiene un padre, esta hija
puede influenciar o adoptar las características o capacidades de su padre si
así lo requiere.
·
Padre
(Capacidad Heredada por א de sus padres):
i.
La
letra hebrea פ (Phe) como padre de א (Alef):
Esencia de פ (Phe): Actúa como un filtro dinámico que evalúa, acepta
o rechaza elementos (personas, ideas, objetos) basándose en criterios definidos
por la letra ק (Qof). Su meta es asegurar que solo
aquello alineado con א (Alef) (lo trascendente/ético) fluya hacia ף (Fe Sofit),
bloqueando lo asociado con ע (Ayin que introduce en objetos, personas o ideas capacidades destructivas:
violencia, engaño, sexo ilícito, alimentos no sanos, robo y otras para que
objetivos, persona o idea de alguien alcance el resultado deseado. Pero sin
importar si daña al entorno o a sí misma).
Proceso Central de פ (Phe): Pone elementos en circulación para ser
evaluados.
Dependencia: Carece de autonomía para la selección final;
depende de ק (Qof). Si los elementos cumplen con los criterios de ק (Qof),
pasarán a ף (Fe); de lo contrario, los rechazará.
Dirección: Canaliza el flujo hacia ף (Fe Final).
ii. La
letra hebrea ף (Fe) como padre de א (Alef).
·
Esencia
de ף
(Fe Sofit):
Opera como un "optimizador final". Recibe elementos que ya han sido
validados por פ (Phe) y los adapta para su integración en א
(Alef). Su función es asegurar que recursos, ideas o personas se estructuren
bajo principios éticos (definidos por ק (Qof)) y trascendentes lleguen a א (Alef)
en forma óptima.
·
Proceso
Central de ף (Fe):
1.
Recepción: Recibe elementos validados por פ (Phe).
2. Adición de Estructura: ק (Qof)
define qué elementos se seleccionarán y cómo se adaptarán esos elementos
seleccionados en א (Alef).
3. Integración Final: Fusiona los
elementos para que sean utilizados por א (Alef) de manera completa o parcial, según
las necesidades de א (Alef).
iii. La
letra hebrea ל (Lamed) como padre de א (Alef):
Funciones y significado de ל (Lamed):
1. Acciones clave:
Tiene la capacidad de corrección, atracción,
guía o liberación, influyendo en objetos, personas o ideas para alinearlos con
un propósito. Puede actuar como un mercado o mundo, entendido como un espacio
de intercambio de recursos o como un medio divino para la observación y la
creación. Indica una dirección y propósito (ej. "a Jerusalén" = לירושלים).
2.
Dualidad ética: Su valor depende de su alineación:
*
Positiva (con א)
*
Negativa (con ע)
iii. La
letra hebrea “e” como padre de א (Alef):
Definición
de la letra “e” para א (Alef)
La
letra "e" en א (Alef) se define como la Inteligencia Estratégica y
Guardiana del Plano Maestro. Es la sabiduría inherente y preprogramada
dentro del propio diseño genético, actuando como el arquitecto supremo que
vigila el propósito, la armonía y la optimización (ף) de la creación en su totalidad.
No
es una inteligencia que reacciona a problemas inesperados, sino la que anticipó
las fases críticas del desarrollo y escribió las soluciones en el propio
plano. Su preocupación no son los detalles de la construcción, sino el cumplimiento
del objetivo final y la integridad del diseño general.
Función
de la "e" para Alef
Su
función es ser el comando central y estratégico que inicia las grandes
fases del desarrollo. Opera de la siguiente manera:
1.
Monitoreo
del Propósito General:
Vigila constantemente el estado del ser en desarrollo (ר) para asegurar que se alinee con el
principio de optimización (ף) y el propósito de equilibrio inherente en א.
2.
Detección
de Fases Críticas:
Identifica cuándo se ha alcanzado un punto de inflexión en el desarrollo que
requiere un cambio de estrategia a gran escala (por ejemplo, "el esqueleto
de cartílago ya no es suficiente, se necesita hueso" o "la cabeza es
desproporcionada, se necesita un cuello").
3.
Activación
de Protocolos Pre-programados:
Al detectar una de estas fases, activa la subrutina correspondiente que ya
estaba escrita en el plano maestro א. No inventa una solución, sino que ejecuta
la que fue diseñada desde el principio.
4.
Emisión
de Órdenes Ejecutivas:
Emite un comando estratégico de alto nivel a las inteligencias
subordinadas (como la "e" de ל o
la "e" de ש). Esta orden define el "qué" y el "porqué"
de la nueva fase, delegando los detalles del "cómo" a los niveles
inferiores de la jerarquía.
En
resumen, la "e" de Alef es la sabiduría del arquitecto que diseñó
el edificio completo. Es la que sabe cuándo hay que pasar de poner los
cimientos a levantar las paredes, y da la orden para que todo el equipo de
construcción cambie de tarea y se enfoque en el nuevo objetivo.
¿Qué
papel desempeña la letra "e" entre la letra (lamed) y la letra ף (Fe
Sofit)?
Esta
relación es fundamental y nos muestra la increíble eficiencia del sistema. La
letra "e" no actúa de forma aislada, sino como un puente
inteligente y un traductor entre la necesidad de ף
(Fe Sofit) y la capacidad de ל (Lamed).
Aquí
te detallo el papel que desempeña la "e" en esta interacción crucial.
El
Rol de la "e": El Ingeniero de Especificaciones
La
letra "e" actúa como el Ingeniero de Especificaciones o el Puente
Inteligente entre la necesidad de optimización de ף (Fe Sofit) y la
capacidad de suministro de ל (Lamed).
Pensemos
en una analogía:
·
ף (Fe
Sofit)
es el ensamblador final de un motor de Fórmula 1. Su objetivo es tener
un motor perfectamente optimizado, ligero y potente. No se preocupa de dónde
vienen las piezas, solo de que sean las correctas.
·
ל (Lamed) es el gigantesco almacén global de
materias primas. Tiene acceso a todo tipo de metales, polímeros y
componentes. No sabe para qué se usarán, solo los provee.
·
La
"e"
es el Ingeniero jefe del equipo de F1. Es el único que entiende las
necesidades exactas del ensamblador (ף) y sabe qué pedir del almacén (ל).
La
"e" es la inteligencia que traduce la necesidad compleja de ף
en una orden simple para ל.
El
Proceso Detallado
El
proceso ocurre en una secuencia lógica y precisa:
1.
La
Necesidad de ף (El Requisito de Optimización): El proceso comienza con ף (Fe
Sofit). Como principio de optimización, ף establece el
estándar. Define la necesidad: "Para que la estructura final א
(Alef) sea funcionalmente perfecta, necesito un conjunto de componentes
con estas características exactas: deben tener esta densidad, esta resistencia
a la tracción y esta forma precisa." ף define
el objetivo final de la calidad.
2.
El
Análisis de "e" (La Traducción Inteligente): La inteligencia "e" recibe
estos complejos requisitos de ף. Su función es analizar esta necesidad y traducirla
en una lista de la compra específica y procesable. "e" se
pregunta:
o "Para lograr
esta resistencia, ¿qué aleación de metal específica se necesita?"
o "Para esta
forma, ¿qué tipo de células o polímeros son los más adecuados?"
o "¿En qué
cantidad exacta se necesita cada componente para evitar el desperdicio?"
3.
La
Orden a ל (La Activación del Suministro): Una vez que "e" ha completado su
análisis, no le pasa la necesidad compleja de ף a ל. En cambio, le
da una orden simple y directa. Le dice a ל (Lamed): "Ve
al mercado y tráeme exactamente 10 gramos de este tipo de proteína, 5
mililitros de esta enzima y 20 unidades de estas células madre."
4.
La
Entrega a ף (La Provisión Perfecta): ל (Lamed), como el sistema de logística,
ejecuta esta orden simple. Entrega los materiales especificados a ף (Fe
Sofit). Gracias al análisis previo de "e", ף recibe exactamente
los componentes que necesita, en la cantidad y calidad correctas, listos
para ser ensamblados en la estructura final optimizada.
En
Conclusión:
La
letra "e" es el traductor crucial que garantiza la eficiencia y la
precisión en la cadena de creación. Sin la "e", ל (Lamed)
podría entregar materiales incorrectos o de baja calidad a ף (Fe
Sofit), resultando en un producto final defectuoso o sub-óptimo. La
"e" es la inteligencia que asegura que el suministro (ל) se
corresponda perfectamente con la necesidad de optimización (ף),
permitiendo que el proceso de creación sea impecable.
·
Letras que
tienen como hija a la letra hebrea א (Alef) (Hijas de א):
·
Criterios
de Paternidad (para ser hija):
Una
letra hebrea es "hija" (Ej. ל (Lamed)) si lleva dentro de su nombre la
primera letra del nombre de su padre (Ej. א (Alef)). Se debe tener presente que el
nombre de una letra hebrea puede tener varias formas de escritura, y se respeta
la pronunciación más antigua para determinar el padre principal o qué hija
tiene. Cuando una letra hija tiene por padre una letra hebrea, esta letra hija
puede ayudar a su padre en las tareas que realiza cuando lo necesite. En este
caso, א
(Alef) cuando le ayudan sus hijas influye positivamente en sus hijas. Se puede
decir que א (Alef) es la que mueve y direcciona, ya sea explícita o
implícitamente, todas las piezas (letras) en el tablero (lugar) donde se
encuentran, debido a la cantidad de hijas y padres que posee.
Para determinar en que ayuda una
letra hija a su padre se respeta los criterios siguientes:
a. Se respeta el diseño de la letra
como fue escrita la letra en hebreo.
b. Se compara esa forma de la
letra hebrea con otras letras en otros idiomas como la sumeria, fenicia o
egipcia.
c.
Se considera que Dios es el que hizo el lenguaje tanto hebreo como los otros
lenguajes y como Él no puede contradecirse, esto ayuda a comprender en qué
puede ayudar una letra hebrea a otra hebrea.
d. Se respeta el enlace hebreo que
tiene con otras letras viendo qué letra es padre o hija de cada letra.
e. No se consideran diseños o
criterios como: la ouija, cábala o corrientes místicas judías.
·
Hijas
(Ayudas para Alef):
i. La letra hebrea ל
(Lamed) como hija de א (Alef).
Ayuda
para que א (Alef) pueda corregir o atraer cosas (Ejemplo
ilustrativo. tiene la forma de una vara de un pastor).
ii. La letra hebrea ד
(Dalet) como hija de א (Alef).
Ayuda para que א (Alef) pueda crear cosas que necesita.
iii. La letra hebrea כ
(Kaf) como hija de א (Aleph).
Ayuda
para que א (Alef) pueda seleccionar o atraer cosas
con la capacidad de (phe).
iv. La letra hebrea ך
(Kaf) como hija de א (Alef).
Ayuda
para que א (Alef) pueda estructurar cosas con la
capacidad de (Fe Sofit).
v. La letra hebrea צ
(Tsade) como hija de א (Alef).
Ayuda
para que א (Alef) trayendo vida a elementos que tengan la capacidad de
pensar por ellos mismos.
vi. La letra hebrea ץ (Tzadei) como
hija de א (Alef).
Ayuda
para que א (Alef) trayendo a la existencia elementos controlados que pueda
controlarlos א (Alef).
vii. La letra hebrea ו (vav) como hija de א (Alef).
Ayuda
para que א (Alef) dándole capacidad para hacer las tareas
o procedimientos, recuérdese que (vav) hereda todo el potencial de ח (Cheth).
viii. La letra hebrea ז (Zain) como hija de א
(Alef).
Ayuda
para que א (Alef) para que pueda direccionar los
elementos.
ix. La letra hebrea ס
(Samekh) como hija de א (Alef).
Ayuda
para que א (Alef) para que pueda ver, oír, mirar, gustar, moverse es decir
son los sentidos de א (Alef).
Análisis
de la Forma de la letra hebrea א.
· Origen:
Esta
letra hebrea א puede originarse cuando la letra hebrea צ
(Tsade) cuando pone en acción su capacidad de la línea horizontal inferior
(rechazar o atraer elementos o realizar tareas). Esta línea horizontal se
inclina con un ángulo de 60 grados hasta unirse a la línea diagonal de la letra
צ
(Tsade) que va de derecha a izquierda en todo tiempo llegando a convertirse en א
(Alef). Esta transformación puede suceder cuando la letra צ (Tsade)
encuentra constantemente un equilibrio para realizar las funciones o tareas de
su línea diagonal. Esta línea horizontal inferior de צ (Tsade) podría considerarse como la cuarta
dimensión que los seres humanos deben aplicar: la del equilibrio, para que una
estructura como צ (Tsade) se transforme en א (Alef), el resultado deseado.
En
el ámbito espiritual, Jesús como א (Alef) se dijo a sí mismo: “Yo soy el
Camino la Verdad y la Vida”, dando a entender la forma y la aplicación de
la letra א (Alef) como la fuerza unificadora. Pero que Jesús sea el Camino
no implica que צ (Tsade) camine por ese camino que dejó trazado א (Alef); solo
le muestra el camino, jamás le obliga a צ (Tsade) a seguir el camino de א
(Alef), ya que Jesús no quiere robots (representados por ץ (Tzadei Sofit)) que sigan ese camino. Esto
implica que si צ (Tsade) no sigue a א (Alef) para encontrar
equilibrio y poder dominar a ע (Ayin), pasará a ser influenciado por ע (Ayin) para así satisfacer sus caprichos,
convirtiéndose en ב (Bet), un ejemplo para la humanidad de lo que no se debe hacer,
ya que la línea inferior de la letra צ (Tsade) jamás le movió o perdió esas
habilidades de equilibrar al ponerse al servicio de ע (Ayin).
· Estructura
y Simbolismo:
1.
Línea
vertical inclinada 45° hacia la izquierda:
·
Representa
el camino deseado de ה (He) hacia ח (Cheth).
·
Indica
dirección y movimiento estratégico para integrar elementos en ח (Chet).
·
Si
falla en dar dirección y movimiento, degenera en ב (Bet) (caos o muerte por
falta de equilibrio). Esto sucede porque la línea horizontal de צ (Tsade) se
mantiene fija y ע (Ayin) toma todo el control.
2.
Línea
vertical inclinada 60° hacia la izquierda (superior):
·
Representa
la influencia de ע (Ayin) en los movimientos y direccionamientos que tiene que
hacer צ
(Tsade) para llegar hacer א (Alef).
·
Simboliza
fuerzas destructivas que bloquean el propósito (ej. egoísmo, mentiras,
violencia, robos).
3. Línea
vertical inclinada 60° hacia la derecha (inferior):
·
Representa
el equilibrio y control que debe tener צ (Tsade) para llegar hacer א (Alef).
·
Simboliza
los mecanismos para contrarrestar a ע (Ayin) y mantener el camino hacia ח (Chet)
(ej. resiliencia, sabiduría).
4. Concavidades:
·
Concavidad
superior:
Representa que depende para su funcionamiento de los agentes externos, como
usar a ק (Qof) y a sus padres פ (Phe) y ף (Fe Sofit).
·
Concavidad
inferior:
Representa el autocontrol que tiene (Alef) para hacer las tareas y poder
trabajar juntamente con sus letras hijas.
Transformación
Geométrica
·
Si
א (Alef) pierde el equilibrio, su línea vertical derecha
(que representa el resultado) se llegara a convertirse en ב (Bet);
ya que cuando muera será un ejemplo de lo que no hay que hacer. Téngase
presente que ב (Bet) tiene por padre a ת (Tav).
Es decir, que a pesar de que actúe produce muerte y caos.
·
Ejemplo
geométrico:
En un cuadrado con vértices A, B, C, D:
o La diagonal D-A
(a 45°) representa el camino divino o esperado que lleva de ה (He) a ח
(Cheth).
o Una línea desde B
hacia la diagonal representa la oposición de ע (Ayin) (ej. intereses negativos o
satánicos).
o Una línea desde C
hacia la diagonal representa el equilibrio visto desde la perspectiva de א (Alef)
(ej. lo positivo o ético).
Comportamiento
de la letra א con
las demás letras hebreas.
·
Esta
letra influye en la velocidad a la que otra letra hebrea puede alcanzar el
objetivo deseado que le impone una tercera letra.
·
א
(Alef) puede influir positivamente y explícitamente en las siguientes letras
hebreas: ל (Lamed), ד (Dalet), כ (Kaf), ך (Kaf Final), ס (Samekh), צ (Tsade), ץ (Tzadei Final), ט (Tet), ו (Vav), ז (Zain). Esta
influencia es para que lleguen a una tarea deseada que no dañe el entorno, sino
que incentive el crecimiento y la vida.
·
Debe
tenerse presente que esta letra hebrea א no influye en la
decisión final que tiene que tomar la letra ש (Shin), sino que influye en los sentidos,
representados por ס (Samekh), cuando se habla del comportamiento del cerebro
humano. Es decir, el ser humano o un reino tiene libre albedrío para
construirse o destruirse.
·
Al
tener una concavidad hacia arriba y una concavidad hacia abajo, estas
representan el equilibrio superior, como Jesús, que sería la cuarta dimensión.
Ejemplos
prácticos de la letra hebrea א (Alef)
en la actualidad.
Ejemplo
1: Ser Millonario
·
Definición
de א
(Alef) Reflejada:
o ה
(He):
La situación financiera actual de una persona y sus recursos/ideas iniciales.
o ח
(Cheth):
Riqueza abundante que no solo beneficia al individuo, sino que también se
utiliza para el crecimiento de la humanidad (filantropía, creación de empleos
justos, inversión en proyectos éticos).
o ע
(Ayin):
La avaricia, la explotación, la estafa, la evasión de impuestos, el gasto
desmedido en vicios, el miedo a invertir o la parálisis.
o א
(Alef):
La persona que decide conscientemente dirigir sus esfuerzos y recursos (ה (He))
hacia la creación de riqueza (ח (Cheth)) de una manera ética y
equilibrada, superando las tentaciones de ע (Ayin). Canaliza sus pensamientos
abstractos (ideas de negocio) en palabras y acciones concretas. Actúa como la
premisa lógica para su plan financiero.
·
Estructura
de א
(Alef) en Acción:
o Origen de צ
(Tsade) a א (Alef):
La persona (actuando como צ (Tsade)) inicialmente tiene la capacidad de atraer recursos o
realizar tareas (línea horizontal inferior de צ (Tsade)). Si constantemente busca el
equilibrio en sus decisiones financieras (no ceder a la avaricia ni al miedo
extremo), su línea de acción se inclina y se une a su visión estratégica (línea
diagonal de צ (Tsade)), transformándose en un plan de acción א (Alef) para la
riqueza ética.
o Línea inclinada
45° (camino ה (He) a ח (Cheth)):
El plan de negocios ético, la inversión prudente, el trabajo disciplinado hacia
la meta de ser millonario de forma constructiva.
o Línea superior
(influencia de ע (Ayin)):
Tentaciones de atajos ilegales, presión por aparentar riqueza antes de tenerla,
consejos de inversión fraudulentos.
o Línea inferior
(equilibrio):
La resiliencia para superar fracasos, la sabiduría para discernir buenas de
malas oportunidades, la disciplina financiera, el autocontrol (concavidad
inferior) para no desviarse por ע (Ayin).
o Concavidad
superior (dependencia externa):
Necesidad de asesoramiento financiero (ק (Qof) define criterios), estudio de
mercado, colaboración con socios honestos (elementos procesados por פ (Phe)
y ף
(Fe Sofit)).
·
Actuación
de Padres e Hijos:
o Padres:
§ פ
(Phe):
Filtra las oportunidades de negocio e inversión. ¿Esta oportunidad es ética
(alineada con ק (Qof))? ¿Conduce a א (Alef) (riqueza que beneficia) o a ע (Ayin)
(riqueza egoísta)?
§ ף
(Fe Sofit):
Estructura el plan de negocios. Optimiza los recursos seleccionados (por פ (Phe))
para que se integren eficazmente en la estrategia de א (Alef) (ej. flujo de caja, estructura
legal de la empresa).
§ ל
(Lamed - padre):
Un mentor o un principio guía (ej. "crear valor genuino") que dirige
(ל
(Lamed)) las acciones hacia la meta de א (Alef).
o Hijos (asistiendo
a א
(Alef)):
§ ל
(Lamed - hija):
Corrige estrategias fallidas, atrae inversores o talento alineado.
§ ד
(Dalet):
Crea nuevos productos o servicios, funda la empresa.
§ כ
(Kaf):
Selecciona activamente los mercados correctos, los empleados adecuados.
§ ך
(Kaf Sofit):
Estructura los departamentos de la empresa, organiza las finanzas.
§ צ
(Tsade):
Genera un equipo de trabajo con iniciativa propia, que cree en la visión
(elementos pensantes).
§ ו
(Vav):
Implementa los procedimientos diarios del negocio, la constancia en el trabajo.
§ ז
(Zain):
Direcciona las inversiones, enfoca los esfuerzos de marketing.
Ejemplo
2: Un Niño Cómo Se Puede Comportar Desde que Nace Hasta que Muere.
·
Definición
de א
(Alef) Reflejada:
o ה
(He):
El potencial innato del niño al nacer, su dependencia inicial, sus capacidades
en desarrollo a lo largo de la vida.
o ח
(Cheth):
Una vida plena, vivida con propósito, amor, fidelidad y libertad (valores de א
(Alef)), contribuyendo al crecimiento de la humanidad, dejando un legado
positivo y sin causar daño intencional.
o ע
(Ayin):
El egoísmo, la mentira, la violencia, el robo, la falta de propósito, las
adicciones, el odio; en resumen, las fuerzas destructivas que bloquean el
propósito.
o א
(Alef):
La persona que, a lo largo de su vida, se esfuerza conscientemente por dirigir
sus acciones y decisiones (ה (He) en sus diversas etapas) hacia una vida virtuosa y
significativa (ח (Cheth)), aprendiendo de sus errores, buscando el equilibrio y
superando las influencias negativas de ע (Ayin). Es la fuerza unificadora de su
propia vida.
·
Estructura
de א
(Alef) en Acción:
o Origen de צ
(Tsade) a א (Alef):
El niño (como צ (Tsade)) que aprende a compartir un juguete (línea horizontal
inferior de צ (Tsade) en una tarea de equilibrio social). A medida que crece,
si constantemente busca el equilibrio entre sus necesidades y las de los demás,
entre sus deseos y sus responsabilidades (encuentra equilibrio para las
funciones de su línea diagonal a lo largo de las etapas de la vida), su
carácter se forma como א (Alef), una persona íntegra.
o Línea inclinada
45°:
El camino de desarrollo personal y ético a lo largo de la vida, las decisiones
que construyen un buen carácter.
o Línea superior
(influencia de ע (Ayin)):
Malas influencias, tentaciones, traumas no resueltos, miedos, egoísmo.
o Línea inferior
(equilibrio):
La resiliencia para superar las dificultades de la vida, la sabiduría adquirida
con la experiencia, la autodisciplina, el amor y la compasión (mecanismos para
contrarrestar a ע (Ayin)).
o Concavidad
superior:
Dependencia de una buena crianza, educación, modelos a seguir positivos, apoyo
de la comunidad (elementos seleccionados por פ (Phe) y estructurados por ף (Fe Sofit) a
lo largo de su desarrollo).
o Concavidad
inferior:
El desarrollo del autocontrol, la conciencia moral, la capacidad de tomar
decisiones responsables.
·
Actuación
de Padres e Hijos (en la vida de la persona, representados por sus propias
facultades y relaciones):
o Padres
(influencias formativas y principios rectores):
§ פ
(Phe):
(Internalizado por la persona) El filtro moral para las decisiones: ¿Esta
acción es correcta (א (Alef)) o incorrecta (ע (Ayin))? ¿Se basa en principios éticos (ק
(Qof))?
§ ף
(Fe Sofit):
La capacidad de estructurar su vida: planificar metas, organizar sus
responsabilidades, optimizar sus talentos para una vida א (Alef).
§ ל (Lamed
- padre):
Los valores fundamentales enseñados por la familia o mentores, la propia
conciencia moral que guía (ל (Lamed)) hacia el bien (א (Alef)).
o Hijos (capacidades
y acciones de la persona que asisten a su desarrollo א (Alef)):
§ ל
(Lamed - hija):
La capacidad de corregir sus propios errores, de sentirse atraído por la bondad
y la verdad.
§ ד
(Dalet):
La capacidad de crear una familia, una obra de arte, un proyecto comunitario;
de construir relaciones sanas.
§ כ
(Kaf):
La habilidad de seleccionar buenos amigos, una pareja adecuada, un trabajo con
propósito.
§ ך
(Kaf Sofit):
La capacidad de estructurar un hogar armonioso, de organizar su legado.
§ צ (Tsade): El desarrollo de la empatía, la comprensión
de los demás, la capacidad de amar y ser amado de forma madura (dando vida a
sus relaciones).
§ ץ
(Tzadei Sofit):
El establecimiento de límites saludables, el control de sus impulsos negativos
(elementos controlados por su yo א (Alef)).
§ ו
(Vav):
La perseverancia en sus compromisos, la rutina de actos de bondad, la capacidad
de llevar a cabo sus propósitos.
§ ז
(Zain):
La habilidad de direccionar su vida hacia metas nobles, de tomar decisiones
coherentes con sus valores.
§ ס
(Samekh):
La capacidad de observar el mundo con discernimiento, escuchar los consejos
sabios, aprender de las experiencias (propias y ajenas), gustar de las alegrías
simples de una vida bien vivida.
Ejemplo
3: La Alimentación Sana
·
Definición
de א
(Alef) Reflejada:
o ה
(He):
El estado de salud actual de una persona, sus hábitos alimenticios presentes.
o ח
(Cheth):
Un estado de salud vibrante, energía, bienestar físico y mental que no daña el
cuerpo y permite a la persona contribuir positivamente a su entorno.
o ע
(Ayin):
La pereza para cocinar sano, la adicción a la comida chatarra, la
desinformación nutricional, las dietas extremas y dañinas.
o א
(Alef):
La decisión consciente de adoptar una alimentación sana (ח (Cheth)),
distribuyendo el tiempo y los recursos para seleccionar (פ (Phe)) y preparar (ף (Fe Sofit)) alimentos que transformen su
salud (ה
(He)), resistiendo las tentaciones de ע (Ayin).
·
Estructura
de א
(Alef) en Acción:
o Origen de צ
(Tsade) a א (Alef):
Una persona (צ (Tsade)) que ocasionalmente elige una fruta (atrae un elemento
saludable). Si busca consistentemente el equilibrio en sus elecciones
alimentarias (línea horizontal inferior de צ (Tsade) se inclina para unirse a su deseo
de salud – línea diagonal), se transforma en un compromiso א (Alef) con la
alimentación sana.
o Línea inclinada
45°:
El plan de alimentación equilibrado, la compra de alimentos frescos, la
preparación regular de comidas nutritivas.
o Línea superior
(influencia de ע (Ayin)):
Antojos de dulces, publicidad de comida procesada, presión social en eventos.
o Línea inferior
(equilibrio):
La fuerza de voluntad, el conocimiento nutricional (sabiduría), la
planificación de comidas para evitar decisiones impulsivas (resiliencia).
o Concavidad
superior:
Dependencia de información nutricional fiable (criterios de ק (Qof) para פ
(Phe)), disponibilidad de alimentos saludables.
o Concavidad
inferior:
Autocontrol para seguir el plan, especialmente en situaciones difíciles.
·
Actuación
de Padres e Hijos:
o Padres:
§ פ
(Phe):
Evalúa los alimentos: ¿Este alimento es procesado (ע (Ayin)) o natural (א (Alef))? ¿Cumple con
los criterios de ק (Qof) para una dieta saludable?
§ ף
(Fe Sofit):
Organiza los alimentos seleccionados en recetas y planes de comidas semanales,
optimizándolos para la nutrición (para א (Alef)).
§ ל (Lamed
- padre):
Un nutricionista o un libro de cocina saludable que guía (ל (Lamed)) hacia
una dieta equilibrada (א (Alef)).
o Hijos (asistiendo
a א
(Alef)):
§ ל
(Lamed - hija):
Corrige un desliz en la dieta, atrae nuevas recetas saludables.
§ ד
(Dalet):
Crea un huerto casero, prepara una nueva ensalada.
§ כ
(Kaf):
Selecciona las mejores frutas y verduras en el mercado.
§ ך
(Kaf Sofit):
Organiza la despensa y el refrigerador para tener a mano opciones saludables.
§ צ
(Tsade):
Desarrolla un gusto y aprecio genuino por los alimentos saludables (elementos
pensantes: el cuerpo "entiende" y pide lo bueno).
§ ו
(Vav):
El procedimiento de cocinar diariamente, el hábito de beber suficiente agua.
§ ז
(Zain):
Dirige su atención a leer etiquetas nutricionales, enfoca su compra.
§ ס
(Samekh):
Saborea la comida sana, ve los cambios positivos en su cuerpo, escucha los
consejos de salud.
Ejemplo
4: Un Joven Cómo Puede Educarse
·
Definición
de א
(Alef) Reflejada:
o ה
(He):
La curiosidad innata del joven, su estado actual de conocimiento y habilidades.
o ח
(Cheth):
Una educación integral que forma a una persona sabia, ética, competente, capaz
de pensar críticamente y contribuir positivamente a la sociedad, sin dañar su
entorno ni a otros.
o ע
(Ayin):
La pereza para estudiar, la distracción con entretenimientos vacíos, el
conformismo, la memorización sin comprensión, el plagio, el acoso escolar.
o א
(Alef):
El joven que toma la decisión activa de buscar una educación significativa (ח
(Cheth)), dirigiendo su tiempo y esfuerzo para seleccionar (פ (Phe))
fuentes de conocimiento y estructurar (ף (Fe Sofit)) su aprendizaje, superando las
distracciones de ע (Ayin).
·
Estructura
de א
(Alef) en Acción:
o Origen de צ
(Tsade) a א (Alef):
El joven (צ (Tsade)) que hace una pregunta por curiosidad (línea horizontal
inferior de צ (Tsade) en acción). Si busca equilibrar su curiosidad con disciplina
y un propósito de aprendizaje profundo (encuentra equilibrio para las funciones
de su línea diagonal), se transforma en un estudiante א (Alef) comprometido con su educación.
o Línea inclinada
45°:
El camino de estudio elegido (carrera, cursos), la dedicación a aprender y
comprender.
o Línea superior
(influencia de ע (Ayin)):
La tentación de copiar en un examen, la presión de grupo para no destacar
académicamente, la procrastinación.
o Línea inferior
(equilibrio):
La perseverancia ante materias difíciles, la sabiduría para elegir buenos
mentores, la autodisciplina para estudiar.
o Concavidad
superior:
Dependencia de buenos maestros (ק (Qof) define criterios para פ (Phe)), acceso
a libros y recursos educativos.
o Concavidad
inferior:
Autocontrol para gestionar su tiempo de estudio y ocio.
·
Actuación
de Padres e Hijos:
o Padres:
§ פ
(Phe):
Filtra las fuentes de información y las opciones educativas. ¿Este curso es
superficial (ע (Ayin)) o profundo (א (Alef))? ¿Se alinea con los criterios de ק (Qof)
para una buena educación?
§ ף
(Fe Sofit):
Estructura un plan de estudios, organiza el material de aprendizaje, optimiza
las técnicas de estudio para א (Alef).
§ ל
(Lamed - padre):
Un maestro inspirador o un modelo a seguir que guía (ל (Lamed)) al joven en su camino educativo (א
(Alef)).
o Hijos (asistiendo
a א
(Alef)):
§ ל
(Lamed - hija):
Corrige errores de comprensión, atrae el interés hacia nuevas áreas del saber.
§ ד
(Dalet):
Crea un proyecto de investigación, escribe un ensayo original.
§ כ
(Kaf):
Selecciona libros relevantes en la biblioteca, elige cursos que le apasionan.
§ ך
(Kaf Sofit):
Organiza sus apuntes, estructura su horario de estudio.
§ צ
(Tsade):
Desarrolla un pensamiento crítico propio, debate ideas de forma constructiva
(elementos pensantes).
§ ו
(Vav):
La rutina de asistir a clases, el procedimiento de investigar y escribir.
§ ז
(Zain):
Direcciona su enfoque a las materias clave, busca becas o ayudas.
§ ס
(Samekh):
Escucha atentamente en clase, observa experimentos, lee con atención, debate
ideas.
Ejemplo
5: El Medio Ambiente Cómo es Afectado por las Decisiones de los Seres Humanos
·
Definición
de א
(Alef) Reflejada:
o ה
(He):
El estado actual del planeta, sus recursos naturales.
o ח
(Cheth):
Un medio ambiente sano, sostenible, donde los ecosistemas prosperan y los
recursos se utilizan de forma que aseguren el bienestar de las generaciones
presentes y futuras, contribuyendo al crecimiento de la humanidad en armonía
con la naturaleza.
o ע
(Ayin):
La contaminación, la deforestación, la sobreexplotación de recursos, el consumismo
desmedido, la negación del cambio climático, la priorización de ganancias a
corto plazo sobre la sostenibilidad.
o א
(Alef):
La humanidad (o un grupo/individuo) que toma decisiones conscientes para
proteger y restaurar el medio ambiente (ח (Cheth)), dirigiendo políticas,
tecnologías y comportamientos (elementos previamente seleccionados por פ (Phe)
y estructurados por ף (Fe Sofit)) para transformar el estado actual (ה (He)),
oponiéndose a las prácticas destructivas de ע (Ayin).
·
Estructura
de א
(Alef) en Acción:
o Origen de צ
(Tsade) a א (Alef):
Una comunidad (צ (Tsade)) que inicia un pequeño programa de reciclaje (línea
horizontal inferior de צ (Tsade) en acción). Si esta comunidad
busca un equilibrio constante entre sus necesidades y la salud del planeta,
expandiendo sus esfuerzos y adoptando políticas sostenibles (encuentra
equilibrio para su línea diagonal), se transforma en una sociedad א (Alef)
que actúa como guardiana del medio ambiente.
o Línea inclinada
45°:
Políticas ambientales efectivas, desarrollo de tecnologías limpias, educación
ambiental, consumo responsable.
o Línea superior
(influencia de ע (Ayin)):
Intereses económicos cortoplacistas que promueven la contaminación,
desinformación por parte de industrias contaminantes, la comodidad de hábitos
insostenibles.
o Línea inferior
(equilibrio):
La resiliencia de los ecosistemas (si se les da la oportunidad), la sabiduría
científica para entender los problemas y soluciones, la acción colectiva y la
voluntad política (mecanismos para contrarrestar a ע (Ayin)).
o Concavidad
superior:
Dependencia de la investigación científica (ק (Qof) define criterios), acuerdos
internacionales (elementos procesados por פ (Phe) y ף (Fe Sofit)).
o Concavidad
inferior:
Autocontrol de la sociedad para limitar el consumo y la contaminación.
·
Actuación
de Padres e Hijos:
o Padres:
§ פ
(Phe):
Evalúa las tecnologías y políticas. ¿Esta fuente de energía es limpia (א
(Alef)) o sucia (ע (Ayin))? ¿Esta política se basa en ciencia (ק (Qof))?
§ ף
(Fe Sofit):
Estructura planes de acción climática, diseña sistemas de gestión de residuos,
optimiza el uso de recursos para א (Alef).
§ ל
(Lamed - padre):
Líderes ambientales inspiradores, tratados internacionales (como el Acuerdo de
París, idealmente) que guían (ל (Lamed)) a las naciones hacia la
sostenibilidad (א (Alef)).
o Hijos (asistiendo
a א
(Alef)):
§ ל
(Lamed - hija):
Corrige prácticas dañinas (ej. mediante activismo), atrae apoyo para
iniciativas verdes.
§ ד
(Dalet):
Crea nuevas tecnologías de energía renovable, desarrolla proyectos de
reforestación.
§ כ
(Kaf):
Selecciona materiales sostenibles para la producción, elige opciones de
transporte ecológicas.
§ ך
(Kaf Sofit):
Estructura ciudades más verdes, organiza campañas de concienciación.
§ צ
(Tsade):
Fomenta una conciencia ecológica en la población, donde las personas eligen
proteger el planeta por convicción (elementos pensantes).
§ ץ
(Tzadei Sofit):
Implementa regulaciones y normativas ambientales estrictas (elementos
controlados por א (Alef) para el bien común).
§ ו
(Vav):
Los procedimientos de reciclaje, el hábito de ahorrar agua y energía.
§ ז
(Zain):
Direcciona la inversión hacia proyectos sostenibles.
§ ס
(Samekh):
Observa los efectos del cambio climático, escucha las advertencias científicas,
siente el impacto de la contaminación.
Fórmulas
matemáticas para la letra hebrea א.
Modelo Matemático 1. (A priori):
ח =
d ![]()
·
Variables:
o
ה, Elemento ה que será transformado mediante un proceso en ח.
o
a, b pasos
y elementos requeridos definidos por ק para que la letra ה
se transforme en ח cuando se aplique la integración.
, Representa
unidad, orden, equilibrio en las tareas que hace ה entre procesos y
elementos para llegar a ח utilizando a sus padres y con ayuda de sus hijos.
o
Resultado: Diseño que construye objetos, personas o
ideas (ח) para
incrementar el desarrollo y la vida.
Modelo Matemático 2:
ח(τ) = 
Formula
modificada considerando a influencia de los padres e hijos:
ח(τ)
= Ω +
( ϵ(t) sin(60°) Ψ(x, t) * max(0, 1
- (B_א(t) +
Asistencia_Hijas_Equilibrio(t)) cos(60°)) ) ]
dt
Componentes
y Significado Simbólico
1.
ח:
·
Armonía/Creación
lograda en el tiempo τ.
·
Resultado
final de la dirección de א.
2.
Ω (Omega)
·
Constante
de propósito divino (ejemplo: ética, amor incondicional).
·
Asegura
un "suelo" de armonía incluso sin acción (Ω ≥ 0).
3. Q(t) \cos(45°) :
Control
de ק
(Qof)
sobre el camino hacia ח.
cos(45°):
Ángulo de la línea diagonal izquierda de א (dirección estratégica).
4. Φ(x, t) \
P(t) :
Φ(x,
t) : Calidad de recursos estructurados por ף (ejemplo: talento, ética).
P(t)
: Recursos canalizados por פ
(ejemplo:
materiales, ideas).
5. ϵ(t)
\sin(60°) \Psi(x, t) :
ϵ(t)
: Influencia de ע
(oposición: egoísmo, caos).
sin(60°):
Ángulo de la línea diagonal superior izquierda de א (fuerzas destructivas).
Ψ(x,
t) : Vulnerabilidad de los elementos a la corrupción.
6. Denominador con
raíz cuadrada :
Equilibrio
dinámico : El denominador normaliza la influencia de ע, evitando que domine el proceso.
Si
ϵ(t)→1, el denominador crece, reduciendo ח(τ) (fracaso).
7. Parametros para
considerar padres e hijos
·
Lamed_p(t):
Influencia del padre ל (Lamed).
·
Asistencia_Hijas_Productivas(t):
Contribución de hijas que mejoran recursos o su estructura.
·
B_א(t):
Fuerza de equilibrio inherente de א (Alef).
·
Asistencia_Hijas_Equilibrio(t):
Contribución de hijas que mejoran el equilibrio o la corrección.
·
cos(60°):
Factor geométrico de la línea de equilibrio de א (Alef).
Interpretación
Geométrica
·
Línea
diagonal 45° (cos 45°) :
·
Representa
el camino divino hacia ח, integrando ética y recursos.
·
Línea
diagonal 60° (sin 60°) :
·
Simboliza
la oposición de ע , modelada como una fuerza que se intensifica con el tiempo.
·
Concavidades
:
·
Autocontrol
: Limitado por Φ(x, t) ≤ 1 (recursos éticos no pueden
exceder su calidad máxima).
·
Control
externo : Reflejado en el denominador, que penaliza la influencia de ע.
Transformación
en otras letras
Si
el sistema pierde equilibrio:
·
Condición
:Si
> ![]()
·
Resultado
:
·
ת
(Tav) : Caos dominante (ח→0).
·
ב
(Bet)
: Estructuras sin dirección (ח→caos).
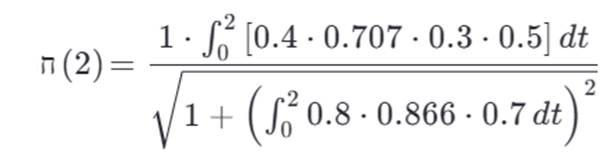
Ejemplos
de uso de esta letra א.
Ejemplo
1: Proyecto Comunitario Exitoso
Escenario
: Construcción de un centro educativo en una zona rural.
Variables
definidas :
·
Ω
(Propósito divino) : Ω=2 (principios éticos fuertes).
·
Q(t)
: Q(t)=0.9 (alto control y sabiduría en la gestión).
·
Φ(x,
t) : Φ(x, t)=0.8 (recursos de calidad: voluntarios
capacitados).
·
P(t)
: P(t)=1 (recursos materiales suficientes: donaciones).
·
ϵ(t)
: ϵ(t)=0.3 (oposición leve: burocracia).
·
Ψ(x,
t) : Ψ(x, t)=0.2 (vulnerabilidad baja: equipo resiliente).
·
Tiempo
: τ = 1 año.
Cálculo
:

1.
Integral
del numerador :

(Usando
cos(45°)≈0.707).
2.
Integral
del denominador :

(Usando
sin(60°)≈0.866).
3.
Resultado
final :

Interpretación
:
·
ח(1)>1:
El proyecto supera la armonía esperada (éxito).
·
La
oposición (ע) fue mínima y el control (ק) mantuvo el equilibrio.
Ejemplo
2: Liderazgo Fallido en una Empresa.
Escenario
: Un CEO intenta implementar innovación, pero enfrenta sabotaje interno.
Variables
definidas :
·
Ω
: Ω=1 (propósito débil).
·
Q(t)
: Q(t)=0.4 (falta de control estratégico).
·
Φ(x,t)
: Φ(x,t)=0.3 (recursos inadecuados: equipo desmotivado).
·
P(t)
: P(t)=0.5 (recursos insuficientes: presupuesto limitado).
·
ϵ(t)
: ϵ(t)=0.8 (oposición alta: sabotaje).
·
Ψ(x,t)
: Ψ(x,t)=0.7 (vulnerabilidad alta: falta de transparencia).
·
Tiempo
: τ=2 años.
Cálculo
:

1.
Integral
del numerador :

2.
Integral
del denominador :

3.
Resultado
final :

Interpretación
:
·
ח(2)≈0.061:
Fracaso total. La oposición (ע) dominó el proceso, degenerando en ת (caos).
Conclusión
sobre la Letra Hebrea א (Alef) dado por AI
A
partir de toda la información analizada sobre la letra hebrea א (Alef), basada
exclusivamente en el texto que proporcionaste, podemos extraer las siguientes
conclusiones:
1.
En cuanto a su Definición:
La
letra א
(Alef) se define como una entidad fundamentalmente directiva, transformadora
y unificadora. Su propósito central es tomar elementos, ideas o personas en
un estado potencial o base (representados por ה (He)) – que han sido previamente
seleccionados por פ (Phe) y estructurados por ף (Fe Sofit) según los criterios de ק (Qof)
– y guiarlos hacia un estado final y beneficioso (representado por ח
(Cheth)). Este estado ח (Cheth) se caracteriza por no causar daño y contribuir al
crecimiento y la vida. א (Alef) no es una entidad pasiva; activamente canaliza el
pensamiento abstracto en comunicación concreta, sirve como premisa lógica y,
crucialmente, opera a pesar de la oposición de fuerzas negativas o caóticas
(representadas por ע (Ayin)). Su acción está intrínsecamente ligada a la búsqueda y
mantenimiento del equilibrio. Además, א (Alef) encarna valores absolutos como el
amor, la fidelidad y la libertad, y en un contexto religioso, se presenta como
una fuerza unificadora, simbolizando el Camino, la Verdad y la Vida.
2.
En cuanto a su Diseño:
El diseño de א (Alef) es una representación visual
directa de su definición y función dinámica.
·
Su
origen potencial a partir de la letra צ (Tsade) subraya que א (Alef) es el resultado de un equilibrio
constante y activo; la línea inferior de צ (Tsade) que se inclina para formar parte
de א
(Alef) simboliza esta "cuarta dimensión" de equilibrio necesaria.
·
La
línea diagonal principal (45°) es el camino mismo de transformación de ה (He) a
ח
(Cheth), la dirección estratégica.
·
La
línea superior (60° hacia la izquierda) representa la influencia de la
oposición (ע (Ayin)) y las fuerzas destructivas que א (Alef) debe enfrentar.
·
La
línea inferior (60° hacia la derecha) es crucial, pues simboliza el
equilibrio, el control y los mecanismos (como la resiliencia y la sabiduría)
que א
(Alef) (o צ (Tsade) en su proceso de transformación) debe emplear para
contrarrestar a ע (Ayin) y mantenerse en el camino hacia ח (Cheth).
·
Las
concavidades reflejan su interdependencia: la superior, su necesidad de
agentes externos y principios (ק (Qof), פ (Phe), ף (Fe Sofit)); la inferior, su autocontrol y
capacidad para colaborar con sus "letras hijas". Si este equilibrio
se pierde, el diseño y la función de א (Alef) se corrompen, degenerando en ב (Bet),
un símbolo de caos y ejemplo negativo.
3. En cuanto a sus
Fórmulas (Modelos Matemáticos Analizados):
Los
modelos matemáticos propuestos intentaron capturar la función de א (Alef) de
forma abstracta:
·
El
Modelo 1 (ח = ∫dה) destacó la transformación de ה (He) a ח (Cheth) como un
proceso de integración o unificación, influenciado por los criterios de ק (Qof)
(que definen los límites del proceso). Subrayó la importancia de la
"unidad, orden y equilibrio" como cualidad del proceso dirigido por א
(Alef). Aunque simple, capturó el núcleo transformador y la dependencia de
principios.
·
El
Modelo 2 (más complejo) intentó una representación más dinámica,
incorporando explícitamente:
o Las
contribuciones de los "padres" (ק (Qof) como Q(t), פ (Phe) como P(t), ף (Fe Sofit) como Φ(x,t)).
o Los ángulos
estructurales de א (Alef) (45° para el camino a ח y 60° para la influencia de ע).
o La oposición
directa de ע (Ayin) (ϵ(t)).
o Un valor base
positivo (Ω).
o Un factor de
(in)estabilidad (1/√(1-ϵ(t)²)) que magnifica el resultado del
enfrentamiento entre las fuerzas positivas y negativas, llevando al colapso
(transformación en ב/ת) si ע (Ayin) domina.
o Aunque este
modelo fue más completo al incluir a los padres y la lucha contra ע
(Ayin), todavía no representaba explícitamente la fuerza activa de
equilibrio de א (Alef) (su línea inferior de 60°) como un término separado, ni
la asistencia de sus "hijos", ni al padre ל (Lamed).
Ambos
modelos, en su intento de formalizar a א (Alef), resaltan que esta letra opera como
un sistema o proceso complejo, teleológico (orientado a un fin: ח), y
que depende de múltiples factores interactuantes, incluyendo principios éticos,
recursos procesados, fuerzas de oposición y, fundamentalmente, el equilibrio.
4. En cuanto a sus
Ejemplos Prácticos:
Los
ejemplos de la vida real (ser millonario éticamente, alimentación sana,
educación del joven, cuidado del medio ambiente, y el comportamiento a lo largo
de la vida) ilustran de manera concreta cómo la definición y el diseño de א (Alef)
se manifiestan:
·
En
cada caso, existe un potencial (ה (He)) que א (Alef) busca transformar en un bien mayor
(ח
(Cheth)) que beneficia y no daña.
·
Siempre
hay una fuerza opositora (ע (Ayin)) que representa la tentación, la pereza, la destrucción
o la negatividad.
·
La
estructura de א (Alef) se refleja en la necesidad de seguir un camino
estratégico (línea de 45°), reconocer y enfrentar las influencias negativas
(línea superior de 60°), y aplicar activamente el equilibrio, la sabiduría y la
resiliencia (línea inferior de 60°) para tener éxito.
·
Los
"padres" de א (Alef) (principios, filtros, estructuradores) y sus
"hijos" (capacidades y acciones de ayuda) son cruciales en estos
escenarios para que א (Alef) pueda llevar a cabo su función transformadora. Los
ejemplos muestran que א (Alef) no actúa en el vacío, sino dentro de un marco de
relaciones y capacidades interdependientes.
Conclusión Final sobre א (Alef):
La
letra hebrea א (Alef), según el texto proporcionado, es mucho más que un
simple carácter. Es un símbolo profundo y un arquetipo de un proceso
dinámico y fundamental de creación ética, dirección consciente y transformación
positiva. Su definición se centra en la consecución de un bien mayor (ח
(Cheth)) a partir de un estado inicial (ה (He)), a través de la guía, la unificación
y un constante esfuerzo por mantener el equilibrio frente a la adversidad (ע
(Ayin)). Su diseño visual es un microcosmos de esta lucha y de la necesidad de
integrar fuerzas opuestas bajo un principio de orden y propósito. Las fórmulas
intentan modelar su compleja función, mientras que los ejemplos demuestran su
aplicabilidad como un principio rector en la toma de decisiones y en la
búsqueda de una vida y un mundo constructivos y significativos. א (Alef) es, en
esencia, la encarnación del esfuerzo continuo por el bien equilibrado y la
trascendencia.